Submit manuscript...
eISSN: 2576-4543

Physics & Astronomy International Journal

Mini Review Volume 9 Issue 4

The lightning phenomenon in intertropical zone

Horacio Torres-Sanchez

Emeritus Professor, National University of Colombia, Number Member of the Colombian Academy of Exact, Physical and Natural Sciences, Researcher Emeritus, Colombian Ministry of Sciences, Colombia

Correspondence: Horacio Torres-Sanchez, Emeritus Professor, National University of Colombia, Number Member of the Colombian Academy of Exact, Physical and Natural Sciences, Researcher Emeritus, Colombian Ministry of Sciences, Colombia

Received: July 31, 2025 | Published: September 26, 2025

Citation: Torres-Sanchez H. The lightning phenomenon in intertropical zone. Phys Astron Int J. 2025;9(3):232-238. DOI: 10.15406/paij.2025.09.00394

Download PDF

Abstract

This article analyzes the important contributions made by Colombian researchers Jorge Álvarez Lleras and Julio Garavito during the 1920s and 1940s, regarding what Álvarez called Tropical Meteorology, and analyzes these contributions with the results obtained with Torres' hypothesis. The analysis and discussion presented in this article demonstrate the contribution of fundamental aspects of tropical meteorology, with an emphasis on atmospheric physics and based on mathematical fluid models, to the scientific understanding of lightning parameters in tropical areas.

Keywords: Tropical Meteorology, Atmospheric physics, Tropical areas, Mathematical fluid models

Introduction

The lightning phenomenon has been systematically investigated in Colombia for approximately four decades with the creation of a research group, motivated by the scientific curiosity of the phenomenon, to understand the high mortality of systems, equipment and people and with the objective of carrying out a process of appropriation, construction and autonomous creation of knowledge. The purpose was to advance both in knowledge and in the solution to the problem of lightning, which has generated technological innovations, recognitions, valuable visible and communicable results that have been susceptible to international academic contrast and social validity.

Consequently, its products have been positively projected towards the Productivity and Competitiveness of the country. After a first stage of measurements, analysis and classification, a hypothesis was postulated to achieve a broad and deep scientific understanding of the origin, characteristics and variations of the lightning phenomenon. The knowledge of temporal and spatial behavior of lightning parameters value is significant both in the design, maintenance and operation of power system, buildings or outdoor electrical or electronic systems and in the performance of warning techniques.

It is essential to enhance this research line in order to learn the differences between the units of the magnitude of lightning parameters measured in north, south and tropical latitudes as well as the differences between plain, mountain or coast zones, and the daily, seasonal and multiannual variations, in order to update lightning parameters for protection of electric power systems with worldwide validity. This means that the units of the magnitudes of the lightning parameters vary spatially and temporally.

The research hypothesis - Fundamental aspects

The research hypothesis that was raised and published in 20021 was: “the values of the lightning parameters magnitude, varies spatially and temporally”.

In this context, value is the quantitative expression of a magnitude, usually expressed as a unit of measurement multiplied by a number. And magnitude is a property that can be measured, for example in the lightning parameters: Lightning Peak Current (LPC) in KA; Keraunic Level in Thunderstorm days per year (TD); Ground Flash Density (GFD) in number of lightning flashes per km2 - year, etc.

In order to design lightning protection for electric power systems, buildings or outdoor electrical or electronic systems, the same values of magnitude of lightning parameters, such as TD, GFD, LPC, etc., used in north latitudes (USA, South Africa, Asia or Europe) cannot be applied in Tropical America latitudes (Colombia, Central America, Brazil, Mexico, etc.). Likewise, it is essential to take into account other spatial aspects such as the topography (plain, mountain or coast)2 and temporal aspects.

The Spatially aspects

A spatial perspective implies the delimitation of areas in order to analyze:

Global or

Local variations.

Global delimitation allows for comparing regions or countries, with the aim of knowing, in general, areas of greater or lesser lightning activity. Satellite measurements using sampling techniques are useful for this. However, in order to use lightning parameter values to calculate the lightning risk or define a protection system for a building, an electrical or electronic system that operates outdoors, it is essential statistically know these values in local areas where the building or the electrical or electronic system is located to protect them, as well as the people located in such locations. This means that spatial characterization, as well as the temporal one, can be carried out in several scales, and the conclusions about the variations of lightning parameter magnitudes could be different.

The effect of topography (spatial aspect), for instance, on the flash discharge mechanism is apparent in the results of3 and (Berger, K., 1970), while4 observed shorter intervals between the formations of multiple channels to ground for storms over mountains (spatial aspect) as compared with storms over plains (spatial aspect). 5found that topography is a very influential variable in the spatial and temporal distribution of cloud-to-ground lightning on a daily scale.

Their results for Central Florida indicate that topographically induced wind flow determines the spatial pattern and magnitude of lightning activity for that area. While,2 presents the influence of topography on the cloud-to-ground parameter unit.

For a global delimitation, the zones of planet Earth can be divided, according to their latitudes into:

  1. Temperate zone: it is located between 30° and 60° north and south latitude, and is characterized by having a temperate climate, that is, moderate temperatures. In temperate zones, the succession of seasons is the most distinctive feature, due to the inclination of the sun's rays throughout the year. Average temperatures in temperate zones are cooler than in the subtropics, since solar radiation arrives at a smaller angle.
  2. Intertropical convergence zone: It is located between the latitude of the tropic of Cancer in the Northern Hemisphere at 23°26′12.6″ N and the latitude of the Tropic of Capricorn in the Southern Hemisphere at 23°26′12.6″ S. Tropical America is located in this zone.

The temporal aspect

A temporal perspective means a characterization of lightning parameters considering several scales in time:

  1. Daily, (the formation of thunderstorms is different, depending on the morning convection or afternoon convection),
  2. Monthly, (for Tropical America zone)
  3. Seasonal (temperate zones), and multiannual.

Research hypothesis statement

The research hypothesis on the spatial and temporal variation in the values of the magnitudes of the lightning parameters has always been present in all academic projects and in undergraduate, master's and doctoral theses that have been carried out and directed by the PAAS research group and was presented in the promotion work to Full Professor6 at the National University of Colombia and later in the book Lightning.1

The hypothesis was based on the scientific principles put forward by the English physicist C.T.R Wilson7 and Whipple,8 on the Global Electric Circuit (Spatial aspect) and the dominant contribution, by a superposition of effects, of the three largest zones of Deep Tropical Convection on the planet: Tropical South America, Central Africa and the Maritime Continent (South East Asia and Australia).

Although tropical South America, Central Africa and the Maritime Continent areas were identified at the beginning of the 20th century as having high atmospheric electrical activity, the information available in the world on the characteristics and magnitudes of lightning value was based mostly on studies carried out in semitropical or temperate zones, but scarce in tropical zones.9 Based on the principles of Wilson and Whipple, work began to verify the hypothesis by taking the first estimates made of the TD parameter in Colombia in 1982 and subsequently with measurements, mathematical analysis and bibliographic review of the other lightning parameters.

This research work is very important to continue, statistically, verify the variation of the values of lightning parameters such as TD, GFD, LPC etc., in the Tropical America zone, with respect to the temperate zone as in the USA, Europe or Asia.9

These results are fundamental for the design of protection against lightning and its statistical variation makes that the standards of temperate latitudes of protection again lightning, such as,10-14 and others must take into account this spatial variation and thus mitigate the high mortality by lightning,14,15 or the high failure of electrical and electronic equipment (ISA, 1989) that occurs in the Tropical America zone.6

Based on the development of the hypothesis raised by Torres, its results were compared with concrete reality. Without losing sight of the fact that in the scientific method there are no absolute truths, but temporary certainties and the results have to be continually adjusted, since the phenomenon of lightning, like all natural phenomena, is in constant change.16 In the process of going from the particular to the general and then returning to the particular, the inductive method was fundamentally used, scientifically accepted by the international academic community. One way of carrying out the inductive method was to propose, through various observations of the events, a conclusion that would be general for all events of the same kind.

More than fifteen scientifically measurable parameters have been established during the systematic study of the physics of lightning. The scale of spatial orders of magnitude ranges from atomic phenomena that initiate the electrification of the storm cloud at a magnitude of 10-10 meters, to the movement of the air in the storm cloud, which completes the charging process, on a scale of tens or hundreds of kilometers.16

Based on the process of developing the proposed research hypothesis, today we know, for example, that more than 2000 storms are active around the globe at any given time, producing approximately 100 lightning strikes per second, which are more concentrated in the tropical zone of the Earth than in the temperate zones of the planet, as shown in satellite measurements and in ground measurements that we have carried out not only in Colombia but in USA, Brazil or Cuba. And its parameters such as the LPC, TD, GFD, the energy or its polarity differ statistically from those measured in the temperate zone.

Figure 1 presents an example of the spatial and temporal variation in the behavior of the TD in Bogotá, Colombia and Havana, Cuba from a multiannual database.1

Figure 1 Keraunic Level (TD) in Bogotá (a), Colombia and Havana (b), Cuba from a multiannual database.

The bimodal behavior in the city of Bogotá, Colombia, and the monomodal behavior in the city of Havana, Cuba, are directly related to the displacement of the Intertropical Convergence Zone. Behaviors that are totally different in temperate latitudes.16

Figure 2, 16presents another comparative example of the global multiannual TD parameter value for countries in temperate latitudes (USA, France) and Tropical America countries (Cuba and Colombia), where the maximum multiannual value of the magnitude of the lightning parameter TD in France is 36, while in Colombia as a tropical country it can reach more than 200.

Figure 2 Multiannual of the lightning parameter magnitude values as TD in France and USA (temperate latitudes) and Cuba and Colombia, located in Tropical America zone.

Figure 3 compares the probabilistic parameter Negative LPC  adopted by the countries of Europe, North America and Asia grouped in the CIGRE committee, which is based on the measurements made by Berger on Mount San Salvatore (Switzerland) in the 1950s and subsequently reported (Berger, K., 1975), with the more recent ones, made with more technologically advanced equipment, in tropical countries such as Brazil,17 Rhodesia,18 Malaysia (Lee, S. C., 1979) and Colombia.19 While Berger's measurements lead to a multiannual median of 30 kA, the tropical ones result in 45 kA.9

Figure 3 Multiannual probabilistic index of the negative LPC for most countries of the world (CIGRE) and tropical countries.

This is how today we have probability distribution curves for the LPC and the Shape of the LPC, measured in Europe, which are recommended both in specialized literature and in international standards, to be used in the design of lightning protection, insulation design in electrical machines, and shielding design in transmission lines, for any part of the world. This practice is not convenient for tropical countries such as Colombia, which developed its own standard for lightning parameters.20

To measure lightning parameters in Tropical America terrestrial zones, it was necessary to carry out direct and indirect measurement campaigns with the design and installation of a direct lightning measurement tower in the area of ​​Samaná city, Colombia and other measurements by induction measurement.9 These values of ­­parameters were compared with similar measurements in Brazil, Cuba, Venezuela and other tropical countries as Malaysia and Rhodesia.

All these parameters were presented and discussed with the international academic community.9,16,21 These research results have direct implications for lightning protection of people and property in general in the Tropical America zone, which, ultimately, has values of magnitudes of the lightning parameters different from those of temperate latitudes.16 All these parameters were presented and discussed with the international academic community9 and were then taken for the Colombian Technical Standard (Figure 4).20

Figure 4 Values of the lightning parameters, taken for the Colombian Technical Standard.20

Contribution of the tropical meteorology theory

¿Why can the values ​​of the lightning parameters vary in the tropics? To find a satisfactory answer, a 1940 paper by researcher Jorge Alvarez was found, who based himself on another Colombian researcher, Julio Garavito, proposed for the first time the theory of a tropical meteorology. The previous analysis and results in this paper of the lightning parameters, were carried out from a perspective of electromagnetic physics. However, the analysis carried out by Colombian researchers Garavito and Alvarez started from a complementary perspective: atmospheric physics.

The Colombian researcher Jorge Álvarez, in charge of the Meteorological Service of the National Observatory of Colombia, had presented at the Second Pan-American Scientific Congress, held in Washington in 1916, published in the “Proceedings of the Second Scientific Pan American Congress”,22 the first results of measurements of rainfall, temperature, atmospheric pressure, relative humidity, with state-of-the-art technological equipment for the time and comparisons with results in other latitudes.

After an initial stage of measurements, analysis and classification, carried out by the Colombian researcher Garavito23 on the climate of Bogotá, Colombia, Álvarez continued working on the subject for nearly two decades, until his publications on “Elements of Tropical Meteorology”, published in volume 3 of the Academy’s journal in 1940.24 The results of his research led him to postulate a theory that leads to a scientific, rigorous, systematic and in-depth understanding of the origin, characteristics and variations in meteorology as a function of latitude, which provide scientific support for the hypothesis on the space-time variation in the values of the magnitude of lightning parameter.

Analyzing the results of the development of this theory, these were confronted with concrete reality. In the process of going from the particular (Bogota's climate) to the general and then back to the particular, Alvarez worked, fundamentally, with the inductive method, scientifically accepted by the international academic community today. One way of carrying out the inductive method was to propose, through various observations of the events, a conclusion that would be general for all events of the same kind.25

From this research, Álvarez proposed a fundamental theory, with a contribution to the world's knowledge about the difference between meteorology in temperate latitudes (USA, Europe, Asia) and tropical latitudes.24 Today, Álvarez Lleras' approach has fundamental consequences for technological development and the daily lives of its inhabitants, for example, when technological equipment is designed and built that would operate very differently at one latitude than at another. In the current issue of energy transition, for example, the reliability of the energy matrix must have the capacity to supply demand at all times, meeting the technical requirements of quality and sufficiency.

Currently, for “Non-Conventional Renewable Energy Sources”, there are different technologies such as wind turbines or photovoltaic cells, among others, which operate outdoors. However, their design and manufacture are carried out under international standards and magnitudes of atmospheric parameters from other latitudes (Europe, USA, Japan, China, etc.). Therefore, it is necessary to apply research results specific to the tropical environment, the one with the highest lightning activity on the planet, to achieve reliable and electromagnetically compatible behavior.

Alvarez states in his first paper24 that “the origin of many meteorological phenomena is still in the realm of mystery, despite the work of eminent physicists who have tried to discover it, even though we do not know, for example, how rain is formed in clouds and how lightning occurs in stormy disturbances of the atmosphere”.

Regarding this last statement, since the middle of the 18th century experiments were carried out to estimate the electrical charge contained in storm clouds. One of the first and most important references are the experiments carried out by Benjamin Franklin between 1746 and 176226 which definitively proved that storm clouds and lightning were electrical phenomena.

The first systematic study of electric field changes caused by lightning was carried out during the 1920s by C.T.R. Wilson.7 In 1916, Wilson provided the mathematical basis for the point charge model for the representation of cloud-to-ground and intracloud discharges, and introduced the concepts of moment charge. In the same work, Wilson presents measurements made between 1914 and 1915 at the Solar Physics Observatory in Cambridge, England. The system consisted of a test plate installed at ground level on a cylindrical volume of earth that was connected to the rest of the ground through a capillary electrometer. To shield the test plate, the system had a mechanical arrangement that could be operated by means of pulleys from a booth located 14 m from the measurement site.

That is to say, these pioneering works from the mid-eighteenth century and early twentieth century focused on the measurement of electrical parameters of lightning (electromagnetic physics) and what Alvarez proposed in his 1940 paper was how lightning proceeds in stormy disturbances of the atmosphere (atmospheric physics).

Likewise, Alvarez stated that meteorological science had been until then, simply qualitative and that the origin of many phenomena in which the movement of air plays a very important role was still unknown,.24

For more than two decades (1917-1940) Alvarez developed his theory of Tropical Meteorology and published it in 3 chapters.24

In the first two chapters, Alvarez deals with the general discussion of the equations of fluid motion, making considerations about the equilibrium of the atmosphere and second, establishing the equations of air motion. He reaches the conclusion that the wind must blow eastwards from the pole to the 35o 16´ parallel and from there to the equator. To reach this conclusion, Alvarez studied the case of the movement and pressure of the atmosphere, assuming uniform temperature and abstracting from the friction against the earth's surface. An important contribution to meteorological knowledge at the beginning of the 20th century.

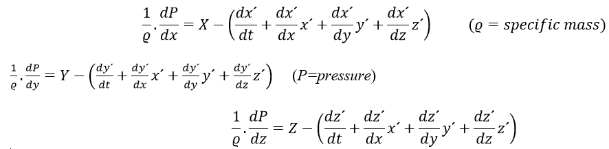
Garavito considers that24From the equations of Hydrodynamics, called “rebels” by Lagrange, it has not been possible until now to deduce certain principles such as those of Bernoulli and Torricelli, except with the hypothesis that velocities are independent of time.” In a particular case of an isolated fluid mass in free fall, Garavito was led to state: “The hypothesis devised by Lagrange on the existence of a function j whose differential is:

 When dealing with effective motion, it is not required that X´, Y´ and Z´ be independent of t for such a function to exist. To solve it, Garavito proceeds as follows:

He takes the equations of Hydrodynamics:

Upon completion of the solution of the Hydrodynamics equations, Alvarez24 established the following:

If the angle of the isobar (of equal mean atmospheric pressure) is observed in different places on Earth with the speed of the air, it is concluded that this angle satisfies the following laws:

For each latitude, this angle has a constant value, this value being greater on land than at sea. This law explains the greater activity of lightning on land than at sea.

This angle grows under the same circumstances, with latitude, until it approaches about 90º at the equator.

And from these mathematical and physical analyses he put forward his theory: “…from the studies carried out, a body of doctrine has emerged that can be called Tropical Meteorology, and which we present in the form of lessons, whose main foundation comes from the instructions that we received at some earlier time from our predecessor, the illustrious astronomer Garavito…”.24

Nowadays, with the progress in research on Tropical Meteorology, it can be stated that the tropical climate is a type of warm climate that is common and dominant in the intertropical zone. The climatic classification of Wladimir Peter Köppen27 defines it as a non-arid climate in which the twelve months have average temperatures that never fall below 18o C. It is isothermal (insignificant thermal oscillation throughout the year) and generally quite humid.

Located near the Earth's equator, these Tropical America region is situated in a zone of constant low pressure, producing the meeting of winds from both hemispheres, called the Southeast Trade Winds and the Northeast Trade Winds (which are also in opposite seasons) in the so-called Intertropical Convergence Zone, which can also generate satellite zones. This band has the capacity to move north-south depending on the angle of inclination of the sun and the time of year. This zone is characterized by the high frequency of ascending winds, which causes vertical development of rain and storm clouds.

Discussion

Although tropical South America, Central Africa and the Maritime Continent areas were identified at the beginning of the 20th century as having high atmospheric electrical activity, the information available in the world on the characteristics and magnitudes of lightning value was based mostly on studies carried out in semitropical or temperate zones, but scarce in tropical zones.9 Based on the principles of Wilson and Whipple, work began to verify the Torres hypothesis by taking the first estimates made of the TD parameter in Colombia in 1982 and subsequently with measurements, mathematical analysis and bibliographic review of the other lightning parameters.

An example of the application of the Torres, H hypothesis, is presented in Figure 5. The development of the Colombian Technical Standard NTC 4552, and the Technical Regulation of Electrical Installations (RETIE), applied mandatorily since 2004, shows the trend of mortality by lightning, an index that varied in 2005 from 2.5 deaths by lightning per million inhabitants to a value less than 1.5 in a period of 13 years. The previous analysis and results in this paper of the lightning parameters, were carried out from a perspective of electromagnetic physics. However, the analysis carried out by Colombian researchers Garavito and Alvarez started from a complementary perspective: atmospheric physics.

Figure 5 Lightning mortality rate in Colombia 1997-2017

¿Why can the values ​​of the lightning parameters vary in the tropics? To find a satisfactory answer, a 1940 paper by researcher Jorge Alvarez was found, who based himself on another Colombian researcher, Julio Garavito, proposed for the first time the theory of a tropical meteorology.

In the articles by Alvarez Lleras24 he presents his studies on the equations of fluid motion, making considerations on the equilibrium of the atmosphere, and secondly, on the establishment of the equations of air motion. Thus he arrive at the theoretical conclusion that the wind blows eastwards from the pole to the parallel of 35°16, and from there to the equator, towards the west. To arrive at such a conclusion he studied the case of the movement and pressure of the atmosphere, assuming uniform temperature and abstracting from friction against the earth's surface.

From the solution of hydrodynamic equations, Alvarez concludes several laws that contribute to the scientific understanding of the high values ​​of the lightning parameters in the tropical zone when compared with values ​​in the temperate zone.

Alvarez, based on Hildebrandsson's studies28 on this circulation, presents in his article 4 conclusions that provide the basis for what he called Tropical Meteorology:

  1. Over an area that extends on both sides of the thermal equator, there is a large air current that moves from east to west. This current is generally weak near the earth's surface, that is, in the lower parts of the troposphere, where there is a zone of variable winds and frequent calms (equatorial calms), but it is very constant and strong in the upper layers of the atmosphere. In these regions this equatorial current can acquire, according to certain authors, a speed that exceeds 30 meters per second.
  2. In temperate zones the predominant air currents have a strong component directed from west to east.
  3. Theoretically, from the parallel of 35°16', they are divided into two very distinct zones. Thus, we believe that the intertropical zone, for the purposes of atmospheric circulation, could be defined as the zone between the two parallels on either side of the equator: boreal and austral, whose position is 35°16.
  4. In this zone, the general direction of air movement is from east to west, this direction being more marked the closer it is to the thermal equator.

Conclusion

  1. The values of the lightning parameters magnitude, varies spatially and temporally has been demonstrated in different books and papers over the years18,29-34.
  2. The Alvarez theory on Tropical Meteorology contribute to the scientific understanding of the high values ​​of the lightning parameters in the tropical zone when they are compared with values ​​in the temperate zone.
  3. Furthermore, explanations of differences in lightning characteristics with latitude have been attempted in terms of the meteorological features that depend on latitude.35 Although a qualitative comparison of the results at different latitudes may lead to similar conclusions, a standard statistical approach offers substantial advantages.
  4. Nowadays, there are probability distribution curves for the LPC measured in temperate latitudes, which are recommended both in specialized literature and in international standards,10-13 to be used in the design of lightning protection, insulation design in electrical machines, and shielding design in transmission lines, for any part of the world. This practice is not convenient for tropical countries such as Colombia, which developed its own standard for lightning parameters.20
  5. With the verification of Torres' hypothesis on spatial and temporal variation of the values ​​of the magnitudes of lightning and the development of the Colombian Technical Standard, a great contribution has been made to the design and construction of lightning protection systems for Colombia, a country located in a tropical zone.

Acknowledgments

The research work presented in this article is the summary of more than 40 years of continuous academic work, in which students who did their undergraduate, graduate and doctoral studies at the National University of Colombia have contributed and today have productive companies or are professors at various universities in different countries of the world. Thanks to all of them with whom we formed the PAAS-UN research group, which still continues. Thanks to several research groups that we joined through the CIGRE committee. Thanks to Colciencias (today the Ministry of Sciences of Colombia) and to companies such as the Bogota Energy Group, EPM and ISA, which contributed to the development of this work. Also thanks to the Colombian Institute of Technical Standards ICONTEC and the Interactive Center MALOKA. Finally, a special thanks to the National University of Colombia for its great support for more than 40 years.

Conflicts of interest

I declare that in my case, as the author of this article, I comply with the current copyright laws and I do not have any kind of conflict of interest.

References

  1. Torres H. Lightning: Myths, legends, science and technology (in Spanish). Bogotá: National University - UNIBIBLOS; 2002.
  2. Aranguren D, Lopez J, Inampués, et al. Cloud-to-ground lightning activity in Colombia and the influence of topography. J Atmos Sol Terr Phys.
  3. McEachron KB. Lightning to the Empire State Building. J Franklin Inst. 1939;227:149-217.
  4. Winn WP. Video tape recording of lightning flashes. J Geophys Res. 1973;78:4515-4519.
  5. Lopez R, Holle R. The distribution of summertime lightning as a function of low-level wind flow in Central Florida. NOAA Tech Memo ERL ESG-28. 1987.
  6. Torres H. Space and time in the lightning parameters, test on a research hypothesis (in Spanish). Research work presented to the National University of Colombia for promotion to Full Professor. Bogotá, Colombia; 1998.
  7. Wilson CTR. Investigations on lightning discharges and on the electric field of thunderstorm. Philos Trans A. 1920;221:73-117.
  8. Whipple FJW. On the association of the diurnal variation of electric potential in the weather with the distribution of thunderstorms over the globe. Q J R Meteorol Soc. 1929;55:1-17.
  9. Torres H. Lightning in the tropics, temporal certainties of research on the phenomenon of lightning (in Spanish). Bogotá: Universidad Nacional de Colombia; 2015.
  10. International Electrotechnical Commission. IEC 62305-1:2024. Protection against lightning – Part 1: General principles. Geneva: IEC; 2024.
  11. International Electrotechnical Commission. IEC 62305-2:2024. Protection against lightning – Part 2: Risk management. Geneva: IEC; 2024.
  12. International Electrotechnical Commission. IEC 61400-24:2019. Wind energy generation systems – Part 24: Lightning protection. Geneva: IEC; 2019.
  13. Institute of Electrical and Electronics Engineers. IEEE Std 1410-2010. IEEE Guide for Improving the Lightning Performance of Electric Power Overhead Distribution Lines. New York, NY: IEEE; 2010.
  14. Navarrete N, Cooper MA, Holle R. Lightning fatalities in Colombia from 2000 to 2009. Nat Hazards. 2010.
  15. Cooper MA. Lightning injuries. In: Auerbach P, ed. Wilderness Medicine. 5th ed. Mosby; 2007.
  16. Torres H. Contribution to lightning parameters study based on some American tropical regions observations. IEEE J Sel Top Appl Earth Obs Remote Sens. 2015;8(8):4086-4093.
  17. Visacro S. Statistical analysis of lightning current parameters: Measurements at Morro do Cachimbo Station. J Geophys Res. 2004;109:D01105.
  18. Anderson RB. Lightning research in Southern Africa. Trans SA Inst Electr Eng.
  19. Torres H, Rondón D, Briceño W, et al. Lightning peak current estimation analysis from field measurements in tropical zones. In: Proc 23rd ICLP; September 1996; Florence, Italy.
  20. Colombian Technical Standard NTC4552-1,2 (in Spanish). Bogotá, Colombia: Colombian Institute of Technical Standards ICONTEC; 2004, 2008.
  21. Rubiano JJ, Paez S, Chacon CA, et al. Equation of lightning return current in tropical zones. J Phys Conf Ser. 2007;2135:012007.
  22. Álvarez Lleras J. Contribution to Colombian meteorology (in Spanish). J Colomb Acad Exact Phys Nat Sci. 1938;2.
  23. Garavito AJ. The climate of Bogotá (in Spanish). J Colomb Acad Exact Phys Nat Sci. 1938;3(12):361-372.
  24. Álvarez Lleras J. Elements of Tropical Meteorology (in Spanish). J Colomb Acad Exact Phys Nat Sci. 1940;3(12):439-447.
  25. Torres H. Interdisciplinarity in lightning science (in Spanish). J Colomb Acad Exact Phys Nat Sci. 2017;41(159):174-186.
  26. Krider EP. Benjamin Franklin and the first lightning conductors. Proc Int Comm Hist Meteorol.
  27. Encyclopedia of Climate and Weather. New York, NY: Oxford University Press; 1996.
  28. International Meteorological Committee. International Cloud Atlas. Hildebrandsson H, Riggenbach A, Teisserenc de Bort L, eds. London: Clouds Commission; 1896.
  29. Albrecht R. Where are the lightning hotspots on Earth? Bull Am Meteorol Soc.
  30. Visacro S. Statistical analysis of lightning current parameters: Measurements at Morro do Cachimbo Station. J Geophys Res. 2004;109:D01105.
  31. Mohd Z. Application of lightning performance analysis for a tropical climate country. In: Proceedings of the First International Power and Energy Conference (PECon); November 28-29, 2006; Putrajaya, Malaysia.
  32. Silveira F. On the lightning-induced voltage amplitude: First versus subsequent negative strokes. IEEE Trans Electromagn Compat. 2009;51(3).
  33. Pinto Jr O. Maximum cloud-to-ground lightning flash densities observed by lightning location systems in the tropical region: A review. Atmos Res. 2007;84(3):189-200.
  34. Torres H. Problems in the electrical reliability of wind turbines and photovoltaic cells (in Spanish). J Electr World. 2024;147.
  35. Ogawa T, Brook M. Charge distribution in thunderstorm clouds. Q J R Meteorol Soc. 1969;95:513-525.
Creative Commons Attribution License

©2025 Torres-Sanchez. This is an open access article distributed under the terms of the, which permits unrestricted use, distribution, and build upon your work non-commercially.