Submit manuscript...
MOJ
eISSN: 2381-182X

Food Processing & Technology

Mini Review Volume 2 Issue 5

Thermal stability of soybean oil: when must we discard it?

Julio Cesar Bastos Fernandes, Patricia Ferrante Draghi

Department of Health, The Municipal University of S

Correspondence: Julio Cesar Bastos Fernandes, The Municipal Universityof São Caetano do Sul, 50, Santo Antônio Street, Postal Code: 09521-160, São Caetano do Sul, São Paulo, Brazil, Tel +55-015-11-4239-3332

Received: May 24, 2016 | Published: July 15, 2016

Citation: Fernandes JCB, Draghi PF. Thermal stability of soybean oil: when must we discard it? MOJ Food Process Technol. 2016;2(5):170-174. DOI: 10.15406/mojfpt.2016.02.00051

Download PDF

Abstract

Soybean oil is a product with antioxidant action. Many countries are producer and exporter of soybean oil. The lack of criteria to discard or replace the soybean oil submitted to warming, associated with lack of knowledge of users in relation the change of acidity and composition that the oil suffers due to the heat has as resulted harmful effects to health. This mini-review must address the risks to health of the consumption of fried food in degraded soybean oil. Besides, this paper must review briefly the conventional and alternative methods to determine the degradation degree of used soybean oil.

Keywords: soybean oil, thermal stress, acidity, total polar compounds, disposal, health damage

Abbreviations

ANVISA, national health surveillance agency; BHA, mixture of 2-tert-butyl-4-hydroxyanisole and 3-tert-butyl-4-hydroxyanisole; BHT, 3,5-di-tert-butyl-4-hydroxytoluene; CG-MS, gaseous chromatography coupled to mass spectrometry; HPLC, high pressure liquid chromatography; PG, propyl 3,4,5-trihydroxybenzoate or propyl gallate; TBHQ, tert-butylhydroquinone; TPM, total polar materials

Introduction

Soybean oil is an edible substance obtained from seeds of Glycine max.1 Industrially, two extraction methods are used for manufacturing the soybean oil: the mechanical and chemical process.2-4 Prior to the extraction step there is a pre-processing of the seeds consisting in its cleaning in which residues of vegetable, animal and pieces of metal are removed by screens of different pore sizes and magnetic separation, respectively. Afterwards, there is the milling of the seeds reducing it to powder, which increases contact surface and improves the extraction efficiency of the oil from soybean seeds.2 The mechanical extraction may be performed cold or hot, or combination of both methods. The temperature to be employed will depend on the quality expected of soybean oil. The low-temperature extraction results in a better quality oil in relation to high temperature extraction method, since the undesirable substances present in the grain are extracted into smaller amounts.2,3 Currently, the method used worldwide for oil extraction from soybean seed is the chemical process through organic solvents.2,4 Most of these organic solvents are hydrocarbons, being the main the N-hexane. In the chemical process, the organic solvent destroys the wall and membrane of the cell, where the first is based on cellulose and the second formed by lipoproteins which are soluble in the solvent. The mechanical method presents a lower operating time and does not require the use of harmful solvents, but chemical extraction is the most used method due to its yield in soybean oil be 55% higher than mechanical method.2

The economic importance of soybean oil is demonstrated by its high production in the world. China is the world’s largest producer followed by United States, Argentina and Brazil.5 The world supply and distribution of soybean oil from Brazil was about 7,680 thousand metric tons in 2015, being estimated that during the year 2016 the production of Brazilian soybean oil shall grow up 0.3%. However, the Brazilian production of soybean oil was just half of the Chinese production in 2015.

The chemical composition of soybean oil presents triglycerides containing two or more double bonds in its carbon chain. This feature classifies the soybean oil as polyunsaturated fatty acid. Soybean oil is a source of omega-3 and omega-6, which are essential fatty acids, because these are not synthesized by the human body, requiring its consumption in the diet. Soybean oil is also a source of bioactive compounds such as flavonoids, sterols and tocopherols.6 These substances are antioxidants, therefore inhibits the formation of free radicals, preventing chronic diseases.6-8 Table 1 shows the chemical composition of soybean oil in terms of fatty acids.

Fatty Acids

Chemical Formula

Position of Double Bond

Amount %

Myristic acid

C14H28O2

-

0.1

Palmiticacid

C16H32O2

-

10

Stearic acid

C18H36O2

-

4

Oleic acid

C18H34O2

C9

23

Linolenic acid (omega-3)

C18H30O2

C9, C12 and C15

7

Linoleic acid (omega-6)

C18H32O2

C9 and C12

51

Table 1 Chemical composition of soybean oil in terms of fatty acids

If on the one hand, edible oils present antioxidant properties which are good for health, on the other hand, fried foods in these oils can present physical-chemical changes that cause serious risks to human health.9 The main parameters that are monitored to verify if used soybean oil is inappropriate for using are acid value and TPM.10 In chemical analysis, the conventional method for determining of the acidity number of oils is non-aqueous titration using standard alkali solution. The quantity of free acid in the solution is estimated in terms of oleic acid. The detection of the final point in a conventional titration is through visual indicators.11,12

Instrumental methods are also used to detection of the end-point of this titration such as potentiometric, photometric or thermometric titrations. Potentiometric titration has been proposed to quantification of strong and weak acidities in bio-oil.13 Crispino and Boaventura14 developed an automatic photometric titration to determine acidity of olive oil. The results were similar to reference method with 95% confidence level.14 Another method for determination of titration end-point is thermometric detection. Thermometric titration has been applied to determine acidity number of oils.15,16 The advantage of thermometric end-point detection is its capacity to determine very weak acids with dissociation constants lower than 10-9.15 Although these methods have been applied to kind others of oil, the same can be used to determine the acid number to soybean oil, too.

Others techniques have been studied for determination of acidity index. CG-MS and HPLC are tools that can determine individual fatty acids and oxidation products.17-19 Alternatively, non-destructive methods associated also with chemometric methods have been suggested for quality control of lipids such as infrared and Raman spectroscopy.20-22 TPM is generally determined in soybean oil sample by the classical column chromatography according to standard methods of AOCS Cd 20-91 and ISO 8420.23,24 These methods take several hours to perform and require many amount of organic solvents, hence, alternative methods based on HPLC have also been proposed for determination of TPM.25

All cited methods are very accurate and precise, but these methods are difficult to use in commercial establishments by person without technical knowledge. Hence, we must discuss the importance the simple and rapid methods to determine the acidity of soybean oil that can be applied in commercial establishments and the consequences to health of the consumption of fried foods in degraded oil.

Discussion

The consumption of soybean oil is more indirect, but it presents a great impact. Soybean oil is mainly used for frying food. In the Brazil was estimated that about 30% of the population carries out the meals outside the home, and 53% consume fried foods.26 This preference is due to sensory changes when the food is immersed in oil, such as changes in color, taste and texture.9 The data are similar to world. From 1950 to 2000, the average consumption of added fats and oils increased by 30% in the America.27

Fried foods suffer change in its properties that affect the nutritional quality and can provoke toxicity for food, reaching levels that become it inappropriate for consumption.9 During the warming process, the edible oils undergo physical-chemical changes such as darkening, foam generation, triglyceride hydrolysis with production of free fatty acids, oxidation of the molecules containing double-bonds forming hydroperoxides, polymerization with increase in the viscosity and formation of volatile compounds such as acrolein that causes a disagreeable smell to ambient.9,28

Frying methods by immersion in soybean oil might be continuous or discontinuous process. Continuous process of frying is made in one step and more utilized for manufacturing of snacks, fried potatoes and pasta in the industries. In the second process, the soybean oil is heated many times and employed to produce meals in home or fast foods, restaurants, snack bars and others.9,28

The principal factors that contribute for soybean oil degradation due to frying process are temperature, time, amount of food, metallic contaminants and presence of synthetic antioxidants (BHA, BHT, PG and TBHQ) which are used to prevent the lipid oxidation.9,29 Temperature has been considered the factor more important in the frying process.9 Frying operations are generally made between 175 and 195 °C, but German regulations just allows temperature of frying up to 165 °C, which is suggested to avoid the formation of acrylamides.28 Higher levels of acrylamide were found in frying foods, due to transformation of the amino acid asparagine in the presence of reducing sugars, dimethylpolysiloxane or partial glycerides.30 The exposition to acrylamide can provoke some kinds of cancer in rodents, but it is just considered a probable human carcinogen.31 Besides cancer, an inadequate frying process may cause cardiovascular diseases, arthritis and precocious aging.9

The frying time is also considered a relevant factor for degradation of soybean oil.32 However, we have studied in our institution the effect of the prolonged warming of soybean oil in continuous process without foods and the results showed that acidity index was lower than 0.6% during 24 h of continuous warming (Oil volume of 500 ml when the temperature was controlled between 150 and 180 °C) On the other hand, if the warming is uncontrolled with temperatures above 270 °C, the acidity index reaches values of 3% in just 4 h. Therefore, the degradation process of soybean oil depends on more of the temperature than heated time. It is also important to cite that degradation of edible oil depends on food quantity, size and form of the food and initial content of oil.9

The determination of the moment to discard used soybean oils is very important so much of the view point economic as to health population. The discarded soybean oil before of the necessary implies a higher cost for commercial establishments and risks to environment. If soybean oil is discarded late, there is lost very early of the quality of fried food.9

Many of the commercial establishments don’t make stability control of the soybean oil, leaving the same in continuous heating for hours, and in some cases, reuses it for up to 10 days.7,33,34 In Brazil, ANVISA recommends that the content of free fatty acids in edible oils should not be higher than 0.9%, but Commission Regulation from European Union suggest values up to 1.5%, both estimated as oleic acid.35,36 Nevertheless, in 7th International Symposium on Deep-Fat Frying, the commission reaffirmed that the best indices for determination of the quality of used oils are TPM (25%) and polymeric triglycerides. Indexes of peroxide and free fatty acids should not be used as regulatory values when it comes to monitoring and comparing degree of degradation of different frying oils.10,37

GC is the official technique for determination of TPM,9 but this method such as HPLC is expensive and use solvents that might be hazardous for environment. Besides of this, the time of sample preparation and analysis can reach about 10 hours,9 which is impracticable to use in commercial establishments. On the other side, a conventional method that determines the acidity index, like titration, has some disadvantages such as a long analysis time and requires analyst’s ability to determine the color change precisely. Titration is difficult to adapt to continuous monitoring and non-aqueous titration uses reagents potentially toxics to environment. In this last case, if end-point is detected by potentiometric titration there is the problem when using glass electrode, because a thin film of organic substances blocks the membrane affecting the measures and decreasing the life-time of the sensor.15

The color of soybean oil may be an option to establish its degradation degree since is associated with oxidation state of triglycerides and therefore with TPM. The changing color can also be attributed to 2,7,8-trimethyl-2-(4’,8’,12’-trimethyl-tridecyl)-2-chroman-5,6-quinone (tocored). In the process of refining and deodorization of soybean oil, approximately 30% of tocored is converted into a colorless form. Soybean oil when suffers oxidation by oxygen from air, accelerated by heating regenerates the tocored to its original form, changing the oil color from yellow to orange.38 However, the researchers consider the oil color a limited parameter.9

There are some rapid tests for determining the deterioration degree of used soybean oil in deep-frying (Table 2). Testo 270 and Optifry™ are based on measures of dielectric constant of the oil that has relationship with TPM. Fritest® and 3M™ Shortening Monitor are colorimetric tests, where the first measures the alkali color number and the second is to measure accumulated free fatty acids, similar to pH papers.39

Cooking Oil Tester

Manufacturer

Site

Working Principle

Index

Testo 270

Testo

https://www.testo.com/product/0563+2750/testo-270-Cooking-oil-tester

dielectric constant

TPM

Optifry™

Miroil

http://www.miroil.com/optifry_learn.html

dielectric constant

TPM

Fri-Check

Fri-Check, acquired from Miroil

discontinued

viscosity, density
and surface tension

TPM

Fritest®

Merck

http://www.merckmillipore.com/CN/en/product/Fritest,MDA_CHEM-110652

color

alkali number

3M™ Shortening Monitor

3M

http://www.3mdirect.co.uk/3m-oil-strips-low-range-shortening-monitor-4-x-50-strips.html

color

free fatty acids

Table 2 Rapid tests for determining the deterioration degree of fats and oils

TPM: Total polar materials

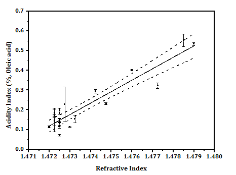
We have studied in our institution the relationship between acidity value of used soybean oil and its refractive index (Figure 1). Using the hypothesis test for Pearson correlation, we calculated r equal to 0.9354 that is higher than critical r to confidence level of 99% (0.561, to n=20). Therefore, the refractive index can be an alternative to estimate the moment to discard used soybean oil in commercial establishment with low financial resources. Finally, it is important to emphasize that degraded soybean oil has substantial industrial application as raw material for manufacturing of biodiesel. Some reviews has demonstrated this relevancy.40,41

Figure 1 Graph showing the linear relationship between refractive index of soybean oil and its acid value.

Conclusion

Soybean oil is an important commercial product that is mainly employed to fry food or for manufacturing of biodiesel when degraded. After warming, soybean oil suffers degradation due to oxidation of triglycerides with formation of peroxides and increase in free fatty acids. The formed compounds during degradation of soybean oil are associated with cardiovascular diseases, arthritis, precocious aging and cancer. Therefore, the determination of the moment to discard used soybean oils is very important to health population. There are many rapid tests that can be applied to commercial establishments for determining the adequate moment to discard the used soybean oil, but in many countries the legislation was not regulated yet. The development of new inexpensive rapid tests associated with a rigid regulation and supervision can avoid in the future problems to health of the human being.

Acknowledgements

None.

Conflict of interest

The author declares no conflict of interest.

References

  1. Brazil. Ministry of Health. Resolution RDC No. Approves the technical regulation for identity fixation and quality of vegetable fats and oils. Brasilia: Brazil: National Health Surveillance Agency; 1999;484:23.
  2. Lacorte CG. Química Industrial-Indústrias Orgânicas. 3rd ed. Editora El Ateneo, Buenos Aires: Argentina; 1951. p. 13–71.
  3. Bredeson DK. Mechanical oil extraction. J Am Oil Chem Soc.1983;60(2):211–213.
  4. Christensen PL. Solvent extraction: Recent developments. J Am Oil Chem Soc. 1983;60(2);214–215.
  5. United States. Oilseeds: World Markets and Trade. Foreign Agricultural Service, United States department of agriculture. USA: USDA; 2016.
  6. Navas PB, Fregapane G, Salvador A. Quality indexes, mayor and minor constituents and oxidative stability of sesame and soybean virgin oils. Rev Fac Agron (LUZ). 2013;30:284–303.
  7. Aguero SD, García JT, CatalánJS. Aceites vegetales de uso frecuenteenSudamérica: características y propriedades. Nutr Hosp. 2015;32(1):11–19.
  8. Sarolic M, Gugic M, Tuberoso CI, et al. Volatile profile, phytochemicals and antioxidant activity of virgin olive oils from Croatian autochthonous varieties Masnjaca and Krvavica in comparison with Italian variety Leccino. Molecules. 2014;19(1):881–895.
  9. Freire PCM, Mancini-Filho J, Ferreira TAPC. Principais alterações físico-químicas em óleos e gorduras submetidos ao processo de fritura por imersão: regulamentação e efeitos na saúde. (Major physical and chemical changes in oils and fats used for deep frying: Regulation and effects on health [in English]). Rev Nutr. 2013;26(3):353–368.
  10. Chen W, Chiu CP, Cheng W, et al. Total polar compounds and acid values of repeatedly used frying oils measured by standard and rapid methods. J Food Drug Anal. 2013;21(1):58–65.
  11. Firestone D. Method Ca5a-40. Free fatty acids. Official Methods and Recommended Practices of the American Oil Chemists Society. 4th ed. Champaign, USA: American Oil Chemists Society; 1996.
  12. Mahesar SA, Sherazi STH, Khaskheli AR, et al. Analytical approaches for the assessment of free fatty acids in oils and fats. Anal Methods. 2014;6:4956–4963.
  13. Wu L, Hua X, Mourant D, et al. Quantification of strong and weak acidities in bio-oil via non-aqueous potentiometric titration. Fuel. 2014;115:652–657.
  14. Crispino CC, Reis BF. Development of an automatic photometric titration procedure to determine olive oil acidity employing a miniaturized multicommuted flow-batch setup. Anal Methods. 2014;6(1):302–307.
  15. Borrull F, Cerdá V, Guasch J, et al. Determination of the acidity index of crude oils and petroleum derivatives by means of thermometric titrations. Comparison with other methods. Thermochim Acta. 1996;98:1–7.
  16. Carneiro MJD, FeresJr MA, Godinho OES. Determination of the acidity of oils using paraformaldehyde as a thermometric end-point indicator. J Braz Chem Soc. 2002;13(5):692–694.
  17. Barriuso B, Astiasarán I, Ansorena D. A review of analytical methodsmeasuring lipid oxidation status in foods:a challenging task. Eur Food Res Technol. 2013;236(1):1–15.
  18. Kail BW, Link DD, Morreale BD. Determination of free fatty acids and triglycerides by gas chromatography using selective esterification reactions. J Chrom Sci. 2012;50(10):934–939.
  19. Milinsk MC, Matsushita M, Visentainer JV, et al. Comparative analysis of eight esterification methods in the quantitative determination of vegetable oil fatty acid methyl esters (FAME). J BrazChemSoc. 2008;19(8):1475–1483.
  20. Li-Chan ECY. The applications of Raman spectroscopy in food science. Trends Food Sci Tech. 1996;7:361–370.
  21. Vaskova H, Buckova M. Thermal degradation of vegetable oils: Spectroscopic measurement and analysis. Procedia Eng. 2015;100:630–635.
  22. Mart JFG. Optical path length and wavelength selection using Vis/NIR spectroscopy for olive oil’s free acidity determination. Int J Food Sci Tech. 2015;50(6):1461–1467.
  23. AOCS. Determination of polar compounds in frying fats. AOCS Official Method Cd 20-91. IL. USA: American Oil Chemists’ Society 1997.
  24.  Animal and vegetable fats and oils– determination of content of polar compounds. International Organization of Standardization, Geneva, Switzerland: ISO; 2002.
  25. Caldwell JD, Cooke BS, Greer MK. High performance liquid chromatography-size exclusionchromatography for rapid analysis of total polar compounds in used frying oils. J Am Oil Chem Soc. 2011;88(11):1669–1674.
  26. Brazil. Pesquisa de orçamentos familiares 2008-2009: análise do consumo alimentar pessoal no Brasil. Instituto Brasileiro de Geografia e Estatística - IBGE, Coordenação de Trabalho e Rendimento, Rio de Janeiro; 2011. 150 p.
  27. United States. Agriculture Fact Book 2001-2002. Chapter 2, United States department of agriculture - office of communications. USA: USDA; 2003.
  28. Aladedunye FA, Przybylski R. Degradation and nutritional quality changes of oil during frying. J Am Oil Chem Soc. 2009;86(2):149–156.
  29. Machado ER, Marmesat S, Abrantes S, et al. Uncontrolled variables in frying studies: Differences in repeatability between thermoxidation and frying experiments. Grasas Aceites. 2007;58(3):283–288.
  30. Gertz C, Klostermann S. Analysis of acrylamide and mechanisms of its formation in deep-fried products. Eur J Lipid Sci Technol. 2002;104(11):762–771.
  31. Dearfield KL, Douglas GR, Ehling UH, et al. Acrylamide: A review of its genotoxicity and an assessment of heritable genetic risk. Mutation Research. 1995;330(1-2):71–99.
  32. Ziaiifar AM, Achir N, Courtois F, et al. Review of mechanisms, conditions, and factors involved in the oil uptake phenomenon during the deep-fat frying process. International Journal of Food Science & Technology. 2008;43(8):1410–1423.
  33. Freire PCM, Lobo LCB, Freitas GS, et al. Quality of deep frying oils and fats used in street-fairs in Goiânia, Brazil. Food Sci Technol. 2013;33(3):569–576.
  34. Osawa CC, Gonçalves LAG, Mendes FM. Avaliação dos óleos e gorduras de fritura de estabelecimentos comerciais da cidade de Campinas/SP. As boas práticas de fritura estão sendo atendidas? Alim Nutr. 2010;21(1):47–55.
  35. Brazil. Fats and oils used in frying. Brasilia: National Health Surveillance Agency. Ministry of Health Technical Informative. 2004;11:5.
  36. European Union. Commission Regulation (EU) No 231/2012 of 9 March 2012 laying down specifications for food additives listed in Annexes II and III to Regulation (EC) No 1333/2008 of the European Parliament and of the Council. Official Journal of European Communities. 2012;55:L83/198.
  37. United States. Optimum frying for safe and improved quality fried foods.7th International Symposium on Deep-Fat Frying. San Francisco, CA /USA; 2013. p. 20–22.
  38. Komoda M, Onuki N, Harada I. Studies on cause of color reversion of edible soybean oil and its prevention Part II. Tocored as a precursor of color reversion of soybean oil. Agr Biol Chem. 1967;31(4):461–469.
  39. Stier RF. Tests to monitor quality of deep-frying fats and oils. Eur J Lipid Sci Technol. 2004;106:766–771.
  40. Aransiola EF, Ojumu TV, Oyekola OO, et al. A review of current technology for biodiesel production: State of the art. Biomass Bioenergy. 2014;61:276–297.
  41. Bharathiraja B, Chakravarthy M, Kumar RR, et al. Biodiesel production using chemical and biological methods – A review of process, catalyst, acylacceptor, source and process variables. Renew Sust Energ Rev. 2014;38:368–382.
Creative Commons Attribution License

©2016 Fernandes, et al. This is an open access article distributed under the terms of the, which permits unrestricted use, distribution, and build upon your work non-commercially.