Submit manuscript...
MOJ
eISSN: 2381-182X

Food Processing & Technology

Research Article Volume 2 Issue 2

Optimization of lentil-supplemented salad dressings as affected by type and level of hydrocolloids by response surface methodology

Zhen MA,1,2 Joyce I Boyeb2

1College of Food Engineering and Nutritional Science, Shaanxi Normal University, China
2Food Research and Development Centre, Agriculture and Agri-Food Canada, Canada

Correspondence: Zhen MA, College of Food Engineering and Nutritional Science, Shaanxi Normal University, Xi, Tel +86-13572555117

Received: February 05, 2016 | Published: March 8, 2016

Citation: Zhen MA, Boyeb JI. Optimization of lentil-supplemented salad dressings as affected by type and level of hydrocolloids by response surface methodology. MOJ Food Process Technol. 2016;2(2):55-65. DOI: 10.15406/mojfpt.2016.02.00032

Download PDF

Abstract

Background: Studies on the nutritional and health benefits of pulses have stimulated interest in using whole pulses and pulse fractions in novel value-added food products. In this study the effects of using different types and concentrations of gums (including xanthan gum [XG], mixtures of XG and gum arabic [GA], XG and propylene glycol alginate [PGA], XG and pectin [PE], and XG and guar gum [GG]) on the physical properties (i.e., rheology, texture, color and particle size distribution) of lentil flour-supplemented (3.5w/w%) salad dressings were systematically examined. Response surface methodology was used to study the main effect of the two independent variables (x1, oil concentration; x2, gum concentration) on the generated responses and to optimize emulsion composition using commercial salad dressing parameters as reference.

Results: An increase in both gum and oil concentrations enhanced emulsion firmness and viscosity by contributing to a more compact networked structure in the emulsion. Large droplets formed in the presence of higher gum concentrations at lower oil content. Color characteristics were affected to different extents depending on type and concentration of gum.

Conclusion: The validation test showed overall adequacy of the final response surface models employed to predict properties of the lentil-supplemented salad dressing formulations.

Keywords: salad dressing, lentil supplementation, rheology, particle size, food hydrocolloids, response surface methodology.

Introduction

Growing consumer demand for low-fat and cholesterol-free food products have increased interest in the use of plant-derived food ingredients. Pulses (including dry bean, pea, chickpea, and lentil) are the second largest source of human food and animal feed worldwide.1 Due to their unique nutritional and functional properties, pulse ingredients such as whole flours, protein, starch and fiber fractions are being explored in various novel value-added processed food products, Including bread, meat products, yogurt, pasta and salad dressings.2-4

Salad dressings encompass a broad range of oil-in-water emulsion products, which vary in fat content (20-65%) and viscosity. Emulsions are thermodynamically unstable systems, and the incorporation of emulsifiers and/or thickening agents is critical for obtaining a stable emulsion with acceptable quality. Emulsifiers are able to decrease the interfacial tension between the oil and water phases, and are able to prevent droplet aggregation by forming a protective coating around the droplets. Thickeners can impart long-term stability by thickening the emulsion system (i.e., reducing the movement of the system) and by forming viscous, ordered networks in the continuous phase to prevent oil separation.5 Non-starch polysaccharides, one of the most widely used thickeners in food applications, are able to impart textural attributes and mouth-feel to food systems. Most of these are hydrophilic, except for gum arabic, Propylene glycol alginate, and hydroxypropyl methylcellulose, which are amphiphilic and can prevent droplet aggregation by steric and/or electrostatic forces. The degree of texture modification associated with these hydrocolloids is dependent on the gum concentration used, the molecular weight of the polysaccharides and their functional groups, as well as on the degree of interaction between mixed gums.6

Mixtures of hydrocolloids may act synergistically to increase viscosity or antagonistically to reduce it. Their interactions have been studied extensively in an effort to generate new functionality or to manipulate the texture and rheology of food systems, with the ultimate goal of replacing expensive polysaccharides by cheaper alternatives.7

Xanthan gum is the extracellular anionic heteropolysaccharide produced by fermentation of the bacterium Xanthomonas campestris. Xanthan consists of pentasaccharide repeating units formed by a (1-4)-β-D-glucan backbone linked to a charged trisaccharide side chain (β-D-mannopyrannosyl-(1-4)-α-D-glucopyrannosyl-(1-2)-β-D-mannopyrannosyl-6-O-acetate) at the 3 position on alternate glucose residues.8 Xanthan gum exhibits pseudoplasticity and thixotropy and xanthan gum solutions have high yield stress making them useful for stabilizing salad dressings.9

Gum arabic is a natural exudate obtained from the stems of Acacia senegal. Structurally, it is a high molecular weight charged heteropolysaccharide consisting of branched galactanheteropolymers. Hydrolysis results in D-galactose with lesser amounts of L-arabinose, D-glucuronic acid and L-rhamnose, along with a small amount of 4-O-methyl-D-glucuronic acid.8-10 Gum arabic solutions are the least viscous of the natural food-grade polysaccharides.10 The structure of gum arabic comprises an approximately 2% protein component which is covalently linked to the polysaccharide moiety.11

Propylene glycol alginate is a derivative of alginic acid with an average molecular mass ranging from 30,000 to 200, 000 Daltons. It is a surface active biopolymer which has both hydrophobic and hydrophilic groups, and could therefore cause a reduction in the surface tension of the oil and water surfaces.12,13

Pectin is a naturally occurring polysaccharide which is present in the primary cell walls of almost all terrestrial plants. It is usually extracted from citric fruits and apples. Pectins are a group of heteropolysaccharides which contain at least 65% by weight of galacturonic acid-based units, which may be partially esterified with a methoxyl group. Pectins are often classified according to their degree of esterification (DE): the ones with DE of up to 50% are classified as high methoxylpectins (HMP), and those with DE of less than 50% DE are classified as low methoxylpectins (LMP).14,15

Guar gum is a galactomannan polysaccharide which is formed by galactose and mannose molecules. It is obtained from the endosperm of the seed of Cyamopsis tetragonolobus. The principal backbone of guar gum is a chain of (1-4)-β-D-mannopyranosyl units, with single (1-6)-α-D-galactopyranosyl units linked to the principal chain.16,17 The interactions between xanthan and guar gum have been studied extensively,17-19 with several types of evidence supporting the existence of intermolecular binding between xanthan and galactomannans.

Salad dressings offer an opportunity to expand the utilization of pulse ingredients. Although several studies have examined the thickening effect of different hydrocolloids and combinations of hydrocolloids used in food product applications (such as gravies, dairy products, food drinks and pet foods), no systematic studies have evaluated the impact of using different types and concentrations of gums or combinations of gums on the physical properties of salad dressings made using pulse ingredients. The role of lentil flour in the formulation of salad dressing as thickening agent was investigated in preliminary studies (data not published). Owing to the complex composition and structure of food systems, food hydrocolloids may exhibit a wide range of structural transitions and rheological properties under different conditions and at various concentrations in food emulsions. The present study was, therefore, undertaken to investigate the influence of different types and levels of single or hydrocolloid mixtures (including xanthan gum [XG], mixtures of XG and gum arabic [GA], XG and propylene glycol alginate [PGA], XG and pectin [PE] and XG and guar gum [GG]) on the physical properties (i.e., rheological, textural, color and particle size characteristics) of lentil flour-supplemented salad dressing, with the aim of assessing the feasibility of using such pulse ingredients in salad dressing formulations.

Materials and methods

Raw materials

Whole green lentil flour was provided by the Canadian International Grains Institute (Winnipeg, MB, Canada). Spray-dried egg yolk powder was obtained from Canadian Inovatech Inc. (Winnipeg, MB, Canada). The following gums were kindly provided by Tic Gums (Belcamp, MD, USA): xanthan gum (TIC Pretested® Ticaxan® Xanthan Powder), gum arabic (TIC Pretested® Gum Arabic FT Powder), PGA (TICA-algin® PGA LV powder), guar gum (TIC Pretested® Guar gum 8/24 powder), pectin (TIC Pretested® pectin HM Slow Set Powder). Potassium sorbate was provided by Nealanders International Inc. (Mississauga, ON, Canada). All other ingredients used in the preparation of the salad dressings were purchased from a local supermarket. All other chemicals used were of analytical grade.

Salad dressing sample preparation

Salad dressings were prepared using different combinations of oil (7.5%-35.0%) and gums (0.2%-0.5%) as described in section 2.7. The five different types and combinations (ratios) of gums used were XG; XG: GA=0.5:1; XG: PGA= 0.5:1; XG: PE=1:1; XG: GG=1:1. The specific ratios were selected based on the work reported previously.20-22 The other ingredients in the recipe were as follows (expressed as a percentage [w/w]): whole green lentil flour 3.5%, vinegar 7.0% (with 5% acetic acid), lemon juice 5.0%, salt 1.0%, and sugar 3.5%. The gums, or combinations of them with appropriate concentrations (0.2%, 0.35%, and 0.5%), and sugar were prepared in advance by mixing the desired amount of dry sample with deionized water while continuously dispersing the gum and sugar solution with a magnetic stirrer at ambient temperature for 2 h. The resulting dispersions were stored overnight to ensure complete hydration prior to adding other ingredients. All other ingredients except oil were then added and mixed until homogeneous. Potassium sorbate (0.02 wt %) was added as an antimicrobial agent. Lastly, canola oil was added and emulsification was achieved using an Ultra-Turrax homogenizer (Model T25, Janke& Kunkel, Ika-Labortechnik, Staufen, Germany) equipped with a S25-18G dispersing tool at 13,800 rpm for 3 min. All measurements were performed the day the samples were prepared.

Texture analysis

Texture analysis was performed with a TA-XT2 texture analyser (Stable Micro System, UK). Salad dressing samples were placed in cylindrical bottles (60 mm diameter × 10 mm height) and were punctured with a cylindrical probe (25 mm diameter × 35 mm height) in a 5000 g load cell at a crosshead speed of 1.0 mm/s. Firmness values were measured and were taken as the height of the peak force during the first compression.

Rheological measurements

Rheological measurements were performed with an AR 1000 rheometer (TA Instruments, New Castle, DE, USA) equipped with a plate/cone system. Steady-state flow tests and dynamic oscillatory tests were conducted using a stainless steel parallel plate with a diameter of 4 cm. The gap setting was 1 mm. One tablespoon of sample was placed at the center of the circular plate, and excess sample was removed from the edges of the plate. The steady-state flow tests were performed at increasing shear rates (0.02 to 300 s-1). Experimental flow curves were fitted using the power law:

η=m γ (n1) MathType@MTEF@5@5@+= feaagKart1ev2aaatCvAUfeBSjuyZL2yd9gzLbvyNv2CaerbuLwBLn hiov2DGi1BTfMBaeXatLxBI9gBaerbd9wDYLwzYbItLDharqqtubsr 4rNCHbGeaGqiVu0Je9sqqrpepC0xbbL8F4rqqrFfpeea0xe9Lq=Jc9 vqaqpepm0xbba9pwe9Q8fs0=yqaqpepae9pg0FirpepeKkFr0xfr=x fr=xb9adbaqaaeGaciGaaiaabeqaamaabaabaaGcbaqcLbsacqaH3o aAcqGH9aqpcaWGTbGaeq4SdCwcfa4aaWbaaeqajuaibaqcLbmacaGG OaGaamOBaiabgkHiTiaaigdacaGGPaaaaaaa@41D0@

wheren is the flow behavior index (dimensionless), η is the shear viscosity (Pa.s), m is the consistency coefficient (Pa.sn), and γ MathType@MTEF@5@5@+= feaagKart1ev2aaatCvAUfeBSjuyZL2yd9gzLbvyNv2CaerbuLwBLn hiov2DGi1BTfMBaeXatLxBI9gBaerbd9wDYLwzYbItLDharqqtubsr 4rNCHbGeaGqiVu0Je9sqqrpepC0xbbL8F4rqqrFfpeea0xe9Lq=Jc9 vqaqpepm0xbba9pwe9Q8fs0=yqaqpepae9pg0FirpepeKkFr0xfr=x fr=xb9adbaqaaeGaciGaaiaabeqaamaabaabaaGcbaGaeq4SdCgaaa@379D@  is the shear rate (s-1). Dynamic oscillatory tests were then performed within the LVE range at 0.1% strain with angular frequency increasing from 0.1 to 100 rad/s. Storage modulus (G′) and loss modulus (G″) vs. angular frequency were measured for all samples.

Color measurements

The color of the salad dressing samples was measured with the L*, a*, b* tristimulus system using a Minolta CM-503c spectrophotometer (Minolta Co. Ltd., Osaka, Japan). A fixed amount of salad dressing was poured into the measuring cup, which was then surrounded with a black paper strip. In this color system, L* is a measure of lightness to darkness (0=black and 100=white), a* is a measure of redness (+ve) to greenness (−ve), and b* is a measure of yellowness (+ve) to blueness (-ve). The data were also characterized in terms of chroma (C) and color difference (ΔE) to highlight differences between the samples:

C= ( a 2 + b 2 ) 1/2 MathType@MTEF@5@5@+= feaagKart1ev2aaatCvAUfeBSjuyZL2yd9gzLbvyNv2CaerbuLwBLn hiov2DGi1BTfMBaeXatLxBI9gBaerbd9wDYLwzYbItLDharqqtubsr 4rNCHbGeaGqiVu0Je9sqqrpepC0xbbL8F4rqqrFfpeea0xe9Lq=Jc9 vqaqpepm0xbba9pwe9Q8fs0=yqaqpepae9pg0FirpepeKkFr0xfr=x fr=xb9adbaqaaeGaciGaaiaabeqaamaabaabaaGcbaqcLbsacaWGdb Gaeyypa0JaaiikaiaadggajuaGdaahaaqabKqbGeaajugWaiaaikda aaqcLbsacqGHRaWkcaWGIbqcfa4aaWbaaeqajuaibaqcLbmacaaIYa aaaKqzGeGaaiykaKqbaoaaCaaabeqcfasaaKqzadGaaGymaiaac+ca caaIYaaaaaaa@473F@

ΔE= (Δ L 2 +Δ a 2 +Δ b 2 ) 1/2 MathType@MTEF@5@5@+= feaagKart1ev2aaatCvAUfeBSjuyZL2yd9gzLbvyNv2CaerbuLwBLn hiov2DGi1BTfMBaeXatLxBI9gBaerbd9wDYLwzYbItLDharqqtubsr 4rNCHbGeaGqiVu0Je9sqqrpepC0xbbL8F4rqqrFfpeea0xe9Lq=Jc9 vqaqpepm0xbba9pwe9Q8fs0=yqaqpepae9pg0FirpepeKkFr0xfr=x fr=xb9adbaqaaeGaciGaaiaabeqaamaabaabaaGcbaqcLbsacqqHuo arcaWGfbGaeyypa0Jaaiikaiabfs5aejaadYeajuaGdaahaaqabKqb GeaajugWaiaaikdaaaqcLbsacqGHRaWkcqqHuoarcaWGHbqcfa4aaW baaeqajuaibaqcLbmacaaIYaaaaKqzGeGaey4kaSIaeuiLdqKaamOy aSWaaWbaaKqbagqajuaibaqcLbmacaaIYaaaaKqzGeGaaiykaKqbao aaCaaabeqcgayaaKqzadGaaGymaiaac+cacaaIYaaaaaaa@524F@

where ΔL, Δa, Δb are the color differences when compared with the color parameters of milk.

Droplet size distribution

The particle size of the salad dressings was analyzed by laser light-scattering using the Mastersizer 2000 MU particle size analyzer (Malvern Instruments Ltd, Worcestershire, UK) with the Hydro 2000MU accessory using distilled water as a dispersant at the speed of 2000 rpm. In keeping with the procedure described by Worrasinchai et al.23 the results were reported as the specific weighted mean diameter (or Sauter mean diameter D[3,2]) and the volume-weighted mean diameter (D[4,3]), respectively,

D[3,2]= n i d i 3 / n i d i 2 MathType@MTEF@5@5@+= feaagKart1ev2aaatCvAUfeBSjuyZL2yd9gzLbvyNv2CaerbuLwBLn hiov2DGi1BTfMBaeXatLxBI9gBaerbd9wDYLwzYbItLDharqqtubsr 4rNCHbGeaGqiVu0Je9sqqrpepC0xbbL8F4rqqrFfpeea0xe9Lq=Jc9 vqaqpepm0xbba9pwe9Q8fs0=yqaqpepae9pg0FirpepeKkFr0xfr=x fr=xb9adbaqaaeGaciGaaiaabeqaamaabaabaaGcbaqcLbsacaWGeb Gaai4waiaaiodacaGGSaGaaGOmaiaac2facqGH9aqpjuaGdaaeabqa aKqzGeGaamOBaKqbaoaaBaaajuaibaqcLbsacaWGPbaajuaGbeaaju gibiaadsgalmaaDaaajuaibaqcLbmacaWGPbaajuaibaqcLbmacaaI ZaaaaaqcfayabeqajugibiabggHiLdGaai4laKqbaoaaqaeabaqcLb sacaWGUbWcdaWgaaqcfasaaKqzadGaamyAaaqcfayabaqcLbsacaWG KbWcdaqhaaqcfasaaKqzadGaamyAaaqcfasaaKqzadGaaGOmaaaaaK qbagqabeqcLbsacqGHris5aaaa@593D@ ,

D[4,3]= n i d i 4 / n i d i 3 MathType@MTEF@5@5@+= feaagKart1ev2aaatCvAUfeBSjuyZL2yd9gzLbvyNv2CaerbuLwBLn hiov2DGi1BTfMBaeXatLxBI9gBaerbd9wDYLwzYbItLDharqqtubsr 4rNCHbGeaGqiVu0Je9sqqrpepC0xbbL8F4rqqrFfpeea0xe9Lq=Jc9 vqaqpepm0xbba9pwe9Q8fs0=yqaqpepae9pg0FirpepeKkFr0xfr=x fr=xb9adbaqaaeGaciGaaiaabeqaamaabaabaaGcbaqcLbsacaWGeb Gaai4waiaaisdacaGGSaGaaG4maiaac2facqGH9aqpjuaGdaaeabqa aKqzGeGaamOBaSWaaSbaaKqbGeaajugWaiaadMgaaKqbagqaaKqzGe GaamizaSWaa0baaKqbGeaajugWaiaadMgaaKqbGeaajugWaiaaisda aaaajuaGbeqabKqzGeGaeyyeIuoacaGGVaqcfa4aaabqaeaajugibi aad6galmaaBaaajuaibaqcLbmacaWGPbaajuaGbeaajugibiaadsga lmaaDaaajuaibaqcLbmacaWGPbaajuaibaqcLbmacaaIZaaaaaqcfa yabeqajugibiabggHiLdaaaa@595D@

Where ni is the number of droplets of diameter di. The specific surface area (m2/ml) was also calculated using the following equations:

Specificsurfacearea= 6×oilfraction D[3,2] MathType@MTEF@5@5@+= feaagKart1ev2aaatCvAUfeBSjuyZL2yd9gzLbvyNv2CaerbuLwBLn hiov2DGi1BTfMBaeXatLxBI9gBaerbd9wDYLwzYbItLDharqqtubsr 4rNCHbGeaGqiVu0Je9sqqrpepC0xbbL8F4rqqrFfpeea0xe9Lq=Jc9 vqaqpepm0xbba9pwe9Q8fs0=yqaqpepae9pg0FirpepeKkFr0xfr=x fr=xb9adbaqaaeGaciGaaiaabeqaamaabaabaaGcbaqcLbsacaWGtb GaamiCaiaadwgacaWGJbGaamyAaiaadAgacaWGPbGaam4yaiaaykW7 caWGZbGaamyDaiaadkhacaWGMbGaamyyaiaadogacaWGLbGaaGPaVl aadggacaWGYbGaamyzaiaadggacqGH9aqpjuaGdaWcaaqaaKqzGeGa aGOnaiabgEna0kaad+gacaWGPbGaamiBaiaaykW7caWGMbGaamOCai aadggacaWGJbGaamiDaiaadMgacaWGVbGaamOBaaqcfayaaKqzGeGa amiraiaacUfacaaIZaGaaiilaiaaikdacaGGDbaaaaaa@61D7@

Statistical analysis

Response surface methodology (RSM) was used to study the main effect of the component variables on the physical properties of lentil flour-supplemented salad dressings prepared with XG, XG-GA, XG-PGA, XG-PE, and XG-GG. A RSM Miscellaneous experimental design with 32 full factorials and 5 center runs was used with two independent variables (x1, oil concentration: 7.5%, 21.25%, 35%; x2, gum concentration: 0.2%, 0.85%, 1.5%) at three coded levels (-1, 0, +1) and five replicates at the center point(oil concentration, 21.25wt%; gum concentration, 0.85wt%). A complete design consisted of 14 experimental runs for dressings formulated with each gum.

The effect of the two independent variables on the following responses was modeled and optimized using RSM: firmness (Y1), flow behavior index n (Y2), consistency coefficient m(Y3), apparent viscosity ηap (Y4), plateau modulus  (Y5), L* value (Y6), a* value (Y7), b* value (Y8), ΔE (Y9), chroma (Y10), D[3,2] (Y11), D[4,3] (Y12), and specific surface area (Y13). All the response surface plots were generated by keeping one variable constant at the center point and varying the other two variables within the experimental range. The regression model selected for predicting individual Y variables is given by the following equation:

Y= β 0 + β i x i + β ii 2 x 2 ii + β ij x i x j +ε MathType@MTEF@5@5@+= feaagKart1ev2aaatCvAUfeBSjuyZL2yd9gzLbvyNv2CaerbuLwBLn hiov2DGi1BTfMBaeXatLxBI9gBaerbd9wDYLwzYbItLDharqqtubsr 4rNCHbGeaGqiVu0Je9sqqrpepC0xbbL8F4rqqrFfpeea0xe9Lq=Jc9 vqaqpepm0xbba9pwe9Q8fs0=yqaqpepae9pg0FirpepeKkFr0xfr=x fr=xb9adbaqaaeGaciGaaiaabeqaamaabaabaaGcbaqcLbsacaWGzb Gaeyypa0JaeqOSdi2cdaWgaaqcfasaaKqzadGaaGimaaqcfayabaqc LbsacqGHRaWkjuaGdaaeabqaaKqzGeGaeqOSdi2cdaWgaaqcfasaaK qzadGaamyAaaqcfayabaqcLbsacaWG4baajuaGbeqabKqzGeGaeyye IuoalmaaBaaajuaibaqcLbmacaWGPbaajuaGbeaajugibiabgUcaRK qbaoaaqaeabaqcLbsacqaHYoGylmaaBaaajuaibaqcLbmacaWGPbGa amyAaaqcfayabaWcdaahaaqcfayabKqbGeaajugWaiaaikdaaaqcLb sacaWG4baajuaGbeqabKqzGeGaeyyeIuoalmaaCaaajuaGbeqcfasa aKqzadGaaGOmaaaalmaaBaaajuaibaqcLbmacaWGPbGaamyAaaqcfa yabaqcLbsacqGHRaWkjuaGdaaeabqaamaaqaeabaqcLbsacqaHYoGy lmaaBaaajuaibaqcLbmacaWGPbGaamOAaaqcfayabaqcLbsacaWG4b aajuaGbeqabKqzGeGaeyyeIuoajuaGdaWgaaqcfasaaKqzGeGaamyA aaqcfayabaaabeqabKqzGeGaeyyeIuoacaWG4bWcdaWgaaqcfasaaK qzadGaamOAaaqcfayabaqcLbsacqGHRaWkcqaH1oqzaaa@7B68@

Where Y is the predicted response, β0 ­is the constant, βi, βii, βij are the regression coefficients, and xi, xjare the levels of independent variables.24 One-way analysis of variance (ANOVA) was used to evaluate the significant terms in the model for each response. The adequacy of models was ensured by removing the non-significant terms (P>0.05) using a step-wise “backward” multiple reduction algorithm.

The overall optimization was carried out within the range of experimental conditions. The responses obtained for five types of pourable commercial salad dressing were used as the target values to predict the optimal formulation during optimization procedure. The optimal levels of the two independent variables leading to the desired properties were obtained for each gum or combination of gums. Design Expert, version 7 (Stat-Ease Inc., Minneapolis, MN, USA), was used to design the experiments, generate the response surfaces and optimize the variables.

Results and discussion

The associated R2 and adjusted R2 for selected responses for the 14 × 5 experiments carried out using the Miscellaneous experimental design as described in section 2.7were computed. Coefficients for the linear, quadratic, and interaction terms of each model were calculated and tabulated for this response in Table 1. Some responses could not be fitted satisfactorily to mathematical models due to lack of fit or poor fit with low R2 or adjusted R2 values. The discussion therefore only addresses responses which exhibited statistically significant predicted models (P<0.05) with non-significant lack of fit (P>0.05).

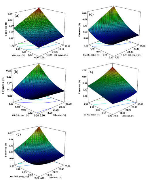
Regression models of firmness

Figure 1 Response surface plots of firmness (N) for dressings prepared with (A) xanthan gum (XG), (B) xanthan gum-gum Arabic (XG-GA), (C) xanthan gum-propylene glycol alginate (XG-PGA), (D) xanthan gum-pectin (XG-PE), and (E) xanthan gum-guar gum (XG-GG).

Figure 1 shows the response surfaces of firmness for the dressing emulsions prepared with different gums as a function of the component variables (x1, oil; x2, gum). As shown, firmness (Y1) for all gums and combinations thereof exhibited a similar increasing trend in response to increasing oil concentrations (x1) at higher gum content. For dressings prepared with XG-GA, XG-PGA, and XG-PE (Figure 1B-1D), an increase in the gum concentrations (x2) yielded higher firmness (Y1) values at higher oil content (x1), whereas dressings with XG and XG-GG showed an increasing trend in Y1 with an increase in gum content (x2) at all oil concentrations within the experimental range studied (Figure 1A & 1E). The results are consistent with those of Raymundo et al.25 which showed that firmness increased with increasing protein, xanthan gum, and oil concentrations in a low-fat oil-in-water emulsion reportedly.

The significant second-order regression models with R2 of 0.982, 0.849, 0.987, 0.956, and 0.974 for dressings prepared with XG, XG-GA, XG-PGA, XG-PE, and XG-GG are presented in Eq. 1, 2, 3, 4, 5, respectively.

Y 1 =0.1030.0014 x 1 0.031 x 2 +0.0117 x 1 x 2 +0.0961 x 2 2 MathType@MTEF@5@5@+= feaagKart1ev2aaatCvAUfeBSjuyZL2yd9gzLbvyNv2CaerbuLwBLn hiov2DGi1BTfMBaeXatLxBI9gBaerbd9wDYLwzYbItLDharqqtubsr 4rNCHbGeaGqiVu0Je9sqqrpepC0xbbL8F4rqqrFfpeea0xe9Lq=Jc9 vqaqpepm0xbba9pwe9Q8fs0=yqaqpepae9pg0FirpepeKkFr0xfr=x fr=xb9adbaqaaeGaciGaaiaabeqaamaabaabaaGcbaqcLbsacaWGzb WcdaWgaaqcfasaaKqzadGaaGymaaqcfayabaqcLbsacqGH9aqpcaaI WaGaaiOlaiaaigdacaaIWaGaaG4maiabgkHiTiaaicdacaGGUaGaaG imaiaaicdacaaIXaGaaGinaiaadIhalmaaBaaajuaibaqcLbmacaaI XaaajuaGbeaajugibiabgkHiTiaaicdacaGGUaGaaGimaiaaiodaca aIXaGaamiEaSWaaSbaaKqbGeaajugWaiaaikdaaKqbagqaaKqzGeGa ey4kaSIaaGimaiaac6cacaaIWaGaaGymaiaaigdacaaI3aGaamiEaS WaaSbaaKqbGeaajugWaiaaigdaaKqbagqaaKqzGeGaamiEaSWaaSba aKqbGeaajugWaiaaikdaaKqbagqaaKqzGeGaey4kaSIaaGimaiaac6 cacaaIWaGaaGyoaiaaiAdacaaIXaGaamiEaSWaaSbaaKqbGeaajugW aiaaikdaaKqbagqaaSWaaWbaaKqbagqajuaibaqcLbmacaaIYaaaaa aa@6BD5@ (Eq. 1)

Y 1 =0.1650.0017 x 1 0.176 x 2 +0.0049 x 1 x 2 +0.076 x 2 2 MathType@MTEF@5@5@+= feaagKart1ev2aaatCvAUfeBSjuyZL2yd9gzLbvyNv2CaerbuLwBLn hiov2DGi1BTfMBaeXatLxBI9gBaerbd9wDYLwzYbItLDharqqtubsr 4rNCHbGeaGqiVu0Je9sqqrpepC0xbbL8F4rqqrFfpeea0xe9Lq=Jc9 vqaqpepm0xbba9pwe9Q8fs0=yqaqpepae9pg0FirpepeKkFr0xfr=x fr=xb9adbaqaaeGaciGaaiaabeqaamaabaabaaGcbaqcLbsacaWGzb WcdaWgaaqcfasaaKqzadGaaGymaaqcfayabaqcLbsacqGH9aqpcaaI WaGaaiOlaiaaigdacaaI2aGaaGynaiabgkHiTiaaicdacaGGUaGaaG imaiaaicdacaaIXaGaaG4naiaadIhalmaaBaaajuaibaqcLbmacaaI XaaajuaGbeaajugibiabgkHiTiaaicdacaGGUaGaaGymaiaaiEdaca aI2aGaamiEaSWaaSbaaKqbGeaajugWaiaaikdaaKqbagqaaKqzGeGa ey4kaSIaaGimaiaac6cacaaIWaGaaGimaiaaisdacaaI5aGaamiEaS WaaSbaaKqbGeaajugWaiaaigdaaKqbagqaaKqzGeGaamiEaSWaaSba aKqbGeaajugWaiaaikdaaKqbagqaaKqzGeGaey4kaSIaaGimaiaac6 cacaaIWaGaaG4naiaaiAdacaWG4bWcdaWgaaqcfasaaKqzadGaaGOm aaqcfayabaWcdaahaaqcfayabKqbGeaajugWaiaaikdaaaaaaa@6B31@ (Eq. 2)

Y 1 =0.2660.012 x 1 0.359 x 2 +0.0111 x 1 x 2 +0.0002 x 1 2 +0.203 x 2 2 MathType@MTEF@5@5@+= feaagKart1ev2aaatCvAUfeBSjuyZL2yd9gzLbvyNv2CaerbuLwBLn hiov2DGi1BTfMBaeXatLxBI9gBaerbd9wDYLwzYbItLDharqqtubsr 4rNCHbGeaGqiVu0Je9sqqrpepC0xbbL8F4rqqrFfpeea0xe9Lq=Jc9 vqaqpepm0xbba9pwe9Q8fs0=yqaqpepae9pg0FirpepeKkFr0xfr=x fr=xb9adbaqaaeGaciGaaiaabeqaamaabaabaaGcbaqcLbsacaWGzb qcfa4aaSbaaKqbGeaajugWaiaaigdaaKqbagqaaKqzGeGaeyypa0Ja aGimaiaac6cacaaIYaGaaGOnaiaaiAdacqGHsislcaaIWaGaaiOlai aaicdacaaIXaGaaGOmaiaadIhalmaaBaaajuaibaqcLbmacaaIXaaa juaGbeaajugibiabgkHiTiaaicdacaGGUaGaaG4maiaaiwdacaaI5a GaamiEaKqbaoaaBaaajuaibaqcLbmacaaIYaaajuaGbeaajugibiab gUcaRiaaicdacaGGUaGaaGimaiaaigdacaaIXaGaaGymaiaadIhalm aaBaaajuaibaqcLbmacaaIXaaajuaGbeaajugibiaadIhalmaaBaaa juaibaqcLbmacaaIYaaajuaGbeaajugibiabgUcaRiaaicdacaGGUa GaaGimaiaaicdacaaIWaGaaGOmaiaadIhalmaaBaaajuaibaqcLbma caaIXaaajuaGbeaalmaaCaaajuaGbeqcfasaaKqzadGaaGOmaaaaju gibiabgUcaRiaaicdacaGGUaGaaGOmaiaaicdacaaIZaGaamiEaSWa aSbaaKqbGeaajugWaiaaikdaaKqbagqaaSWaaWbaaKqbagqajuaiba qcLbmacaaIYaaaaaaa@77D3@ (Eq. 3)

Y 1 =0.2230.0036 x 1 0.472 x 2 +0.0129 x 1 x 2 +0.27 x 2 2 MathType@MTEF@5@5@+= feaagKart1ev2aaatCvAUfeBSjuyZL2yd9gzLbvyNv2CaerbuLwBLn hiov2DGi1BTfMBaeXatLxBI9gBaerbd9wDYLwzYbItLDharqqtubsr 4rNCHbGeaGqiVu0Je9sqqrpepC0xbbL8F4rqqrFfpeea0xe9Lq=Jc9 vqaqpepm0xbba9pwe9Q8fs0=yqaqpepae9pg0FirpepeKkFr0xfr=x fr=xb9adbaqaaeGaciGaaiaabeqaamaabaabaaGcbaqcLbsacaWGzb WcdaWgaaqcfasaaKqzadGaaGymaaqcfayabaqcLbsacqGH9aqpcaaI WaGaaiOlaiaaikdacaaIYaGaaG4maiabgkHiTiaaicdacaGGUaGaaG imaiaaicdacaaIZaGaaGOnaiaadIhalmaaBaaajuaibaqcLbmacaaI XaaajuaGbeaajugibiabgkHiTiaaicdacaGGUaGaaGinaiaaiEdaca aIYaGaamiEaKqbaoaaBaaajuaibaqcLbmacaaIYaaajuaGbeaajugi biabgUcaRiaaicdacaGGUaGaaGimaiaaigdacaaIYaGaaGyoaiaadI halmaaBaaajuaibaqcLbmacaaIXaaajuaGbeaajugibiaadIhajuaG daWgaaqcfasaaKqzadGaaGOmaaqcfayabaqcLbsacqGHRaWkcaaIWa GaaiOlaiaaikdacaaI3aGaamiEaSWaaSbaaKqbGeaajugWaiaaikda aKqbagqaaSWaaWbaaKqbagqajuaibaqcLbmacaaIYaaaaaaa@6B73@ (Eq. 4)

Y 1 =0.1530.019 x 1 +0.168 x 2 +0.016 x 1 x 2 +0.0004 x 1 2 MathType@MTEF@5@5@+= feaagKart1ev2aaatCvAUfeBSjuyZL2yd9gzLbvyNv2CaerbuLwBLn hiov2DGi1BTfMBaeXatLxBI9gBaerbd9wDYLwzYbItLDharqqtubsr 4rNCHbGeaGqiVu0Je9sqqrpepC0xbbL8F4rqqrFfpeea0xe9Lq=Jc9 vqaqpepm0xbba9pwe9Q8fs0=yqaqpepae9pg0FirpepeKkFr0xfr=x fr=xb9adbaqaaeGaciGaaiaabeqaamaabaabaaGcbaqcLbsacaWGzb WcdaWgaaqcfasaaKqzadGaaGymaaqcfayabaqcLbsacqGH9aqpcaaI WaGaaiOlaiaaigdacaaI1aGaaG4maiabgkHiTiaaicdacaGGUaGaaG imaiaaigdacaaI5aGaamiEaSWaaSbaaKqbGeaajugWaiaaigdaaKqb agqaaKqzGeGaey4kaSIaaGimaiaac6cacaaIXaGaaGOnaiaaiIdaca WG4bWcdaWgaaqcfasaaKqzadGaaGOmaaqcfayabaqcLbsacqGHRaWk caaIWaGaaiOlaiaaicdacaaIXaGaaGOnaiaadIhalmaaBaaajuaiba qcLbmacaaIXaaajuaGbeaajugibiaadIhalmaaBaaajuaibaqcLbma caaIYaaajuaGbeaajugibiabgUcaRiaaicdacaGGUaGaaGimaiaaic dacaaIWaGaaGinaiaadIhalmaaBaaajuaibaqcLbmacaaIXaaajuaG beaalmaaCaaajuaGbeqcfasaaKqzadGaaGOmaaaaaaa@6A5C@ (Eq. 5)

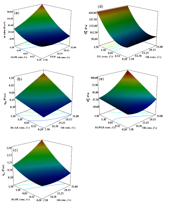
Regression models of rheological parameters

The regression models for responses, including flow behavior index (n value), consistency coefficient (m value), apparent viscosity (ηap), and plateau modulus ( G N 0 MathType@MTEF@5@5@+= feaagKart1ev2aaatCvAUfeBSjuyZL2yd9gzLbvyNv2CaerbuLwBLn hiov2DGi1BTfMBaeXatLxBI9gBaerbd9wDYLwzYbItLDharqqtubsr 4rNCHbGeaGqiVu0Je9sqqrpepC0xbbL8F4rqqrFfpeea0xe9Lq=Jc9 vqaqpepm0xbba9pwe9Q8fs0=yqaqpepae9pg0FirpepeKkFr0xfr=x fr=xb9adbaqaaeGaciGaaiaabeqaamaabaabaaGcbaqcLbsacaWGhb WcdaqhaaqaaKqzadGaamOtaaWcbaqcLbmacaaIWaaaaaaa@3B72@ ), are discussed below.

Regression model of the flow behavior index (n value): The flow behavior index (n) obtained using the power law model was less than 1 (0.1 to 0.7) for all the salad dressings indicative of pseudoplastic behavior. An acceptable food emulsion with high viscosity and good mouth feel should have a low n value as gum solutions with high n value tend to be slimy in the mouth.26

The multiple regression equations for dressings prepared with XG, XG-PGA, XG-PE, and XG-GG (R2values of 0.9668, 0.755, 0.651, and 0.963, respectively) are presented in Eq. 6, 7, 8, and 9, respectively.

Y 2 =0.5060.003 x 1 0.608 x 2 +0.003 x 1 x 2 +0.232 x 2 2 MathType@MTEF@5@5@+= feaagKart1ev2aaatCvAUfeBSjuyZL2yd9gzLbvyNv2CaerbuLwBLn hiov2DGi1BTfMBaeXatLxBI9gBaerbd9wDYLwzYbItLDharqqtubsr 4rNCHbGeaGqiVu0Je9sqqrpepC0xbbL8F4rqqrFfpeea0xe9Lq=Jc9 vqaqpepm0xbba9pwe9Q8fs0=yqaqpepae9pg0FirpepeKkFr0xfr=x fr=xb9adbaqaaeGaciGaaiaabeqaamaabaabaaGcbaqcfaOaamywam aaBaaajuaibaGaaGOmaaqcfayabaGaeyypa0JaaGimaiaac6cacaaI 1aGaaGimaiaaiAdacqGHsislcaaIWaGaaiOlaiaaicdacaaIWaGaaG 4maiaadIhadaWgaaqcfasaaiaaigdaaKqbagqaaiabgkHiTiaaicda caGGUaGaaGOnaiaaicdacaaI4aGaamiEamaaBaaajuaibaGaaGOmaa qcfayabaGaey4kaSIaaGimaiaac6cacaaIWaGaaGimaiaaiodacaWG 4bWaaSbaaKqbGeaacaaIXaaajuaGbeaacaWG4bWaaSbaaKqbGeaaca aIYaaajuaGbeaacqGHRaWkcaaIWaGaaiOlaiaaikdacaaIZaGaaGOm aiaadIhalmaaBaaajuaibaqcLbmacaaIYaaajuaGbeaalmaaCaaaju aGbeqcfasaaKqzadGaaGOmaaaaaaa@60BF@  (Eq. 6)

Y 2 =0.4750.159 x 2 MathType@MTEF@5@5@+= feaagKart1ev2aaatCvAUfeBSjuyZL2yd9gzLbvyNv2CaerbuLwBLn hiov2DGi1BTfMBaeXatLxBI9gBaerbd9wDYLwzYbItLDharqqtubsr 4rNCHbGeaGqiVu0Je9sqqrpepC0xbbL8F4rqqrFfpeea0xe9Lq=Jc9 vqaqpepm0xbba9pwe9Q8fs0=yqaqpepae9pg0FirpepeKkFr0xfr=x fr=xb9adbaqaaeGaciGaaiaabeqaamaabaabaaGcbaqcfaOaamywam aaBaaajuaibaGaaGOmaaqcfayabaGaeyypa0JaaGimaiaac6cacaaI 0aGaaG4naiaaiwdacqGHsislcaaIWaGaaiOlaiaaigdacaaI1aGaaG yoaiaadIhadaWgaaqcfasaaiaaikdaaKqbagqaaaaa@44D7@  (Eq. 7)

Y 2 =0.5540.277 x 2 MathType@MTEF@5@5@+= feaagKart1ev2aaatCvAUfeBSjuyZL2yd9gzLbvyNv2CaerbuLwBLn hiov2DGi1BTfMBaeXatLxBI9gBaerbd9wDYLwzYbItLDharqqtubsr 4rNCHbGeaGqiVu0Je9sqqrpepC0xbbL8F4rqqrFfpeea0xe9Lq=Jc9 vqaqpepm0xbba9pwe9Q8fs0=yqaqpepae9pg0FirpepeKkFr0xfr=x fr=xb9adbaqaaeGaciGaaiaabeqaamaabaabaaGcbaqcfaOaamywam aaBaaajuaibaGaaGOmaaqcfayabaGaeyypa0JaaGimaiaac6cacaaI 1aGaaGynaiaaisdacqGHsislcaaIWaGaaiOlaiaaikdacaaI3aGaaG 4naiaadIhadaWgaaqcfasaaiaaikdaaKqbagqaaaaa@44D6@  (Eq. 8)

Y 2 =0.5880.007 x 1 0.567 x 2 +0.006 x 1 x 2 +0.158 x 2 2 MathType@MTEF@5@5@+= feaagKart1ev2aaatCvAUfeBSjuyZL2yd9gzLbvyNv2CaerbuLwBLn hiov2DGi1BTfMBaeXatLxBI9gBaerbd9wDYLwzYbItLDharqqtubsr 4rNCHbGeaGqiVu0Je9sqqrpepC0xbbL8F4rqqrFfpeea0xe9Lq=Jc9 vqaqpepm0xbba9pwe9Q8fs0=yqaqpepae9pg0FirpepeKkFr0xfr=x fr=xb9adbaqaaeGaciGaaiaabeqaamaabaabaaGcbaqcfaOaamywam aaBaaajuaibaGaaGOmaaqcfayabaGaeyypa0JaaGimaiaac6cacaaI 1aGaaGioaiaaiIdacqGHsislcaaIWaGaaiOlaiaaicdacaaIWaGaaG 4naiaadIhadaWgaaqcfasaaiaaigdaaKqbagqaaiabgkHiTiaaicda caGGUaGaaGynaiaaiAdacaaI3aGaamiEamaaBaaajuaibaGaaGOmaa qcfayabaGaey4kaSIaaGimaiaac6cacaaIWaGaaGimaiaaiAdacaWG 4bWaaSbaaKqbGeaacaaIXaaajuaGbeaacaWG4bWaaSbaaKqbGeaaca aIYaaajuaGbeaacqGHRaWkcaaIWaGaaiOlaiaaigdacaaI1aGaaGio aiaadIhadaWgaaqcfasaaiaaikdaaKqbagqaamaaCaaabeqcfasaai aaikdaaaaaaa@5DDB@  (Eq. 9)

From the above equations, it is evident that for dressings prepared with XG-PGA or XG-PE, the flow behavior index (Y2) was dependent (P<0.05) solely on gum concentration (x2) (Eq. 7, 8). Quadratic equations (Eq. 6, 9) were obtained for dressings prepared with XG and mixed XG-GG.

As shown in Figure 2, the statistical surface representing Y2was dependent on oil (x1) and gum content (x2) for dressings formulated with XG and XG-GG (Figure 2A & 2D). As predicted by the statistical model, n value was dependent only on gum concentration (x2) for XG-PGA and XG-PE (Figure 2B & 2C). In general, for all dressings, an increase in the concentration of x2was accompanied by an increase in pseudoplasticity, as evidenced by a decrease in the values of the flow behavior index. This suggests that the magnitude of change in apparent viscosity corresponding to the change in shear rate tended to increase as the gum concentration increased in the continuous phase of the emulsion. For the dressing with XG alone, the tendency for the n value to decrease was less pronounced when the gum concentration was between 1.18% and 1.50%, which suggests that the pseudoplastic behavior remained quite stable above a threshold XG concentration in the salad dressing system.

In a dressing system, gums may interact with proteins from egg yolk and pulses, with starch from pulses, as well as with each another. The extent of these interactions, which is dependent on the gum concentration, polysaccharide molecular weight and the presence of functional groups of polysaccharides, may explain the differences in the rheological behavior of the dressing systems prepared with different gums.

Regression models of the consistency coefficient (m value): The secondary-order polynomial models fitted to the m value (Y3) are presented in Eq. 10, 11, 12, 13, and 14 for dressings prepared with XG, XG-GA, XG-PGA, XG-PE, and XG-GG (R2 values of 0.995, 0.977, 0.989, 0.986, and 0.993, respectively.

Y 3 =0.9060.175 x 1 +0.432 x 2 +1.408 x 1 x 2 +20.899 x 2 2 MathType@MTEF@5@5@+= feaagKart1ev2aaatCvAUfeBSjuyZL2yd9gzLbvyNv2CaerbuLwBLn hiov2DGi1BTfMBaeXatLxBI9gBaerbd9wDYLwzYbItLDharqqtubsr 4rNCHbGeaGqiVu0Je9sqqrpepC0xbbL8F4rqqrFfpeea0xe9Lq=Jc9 vqaqpepm0xbba9pwe9Q8fs0=yqaqpepae9pg0FirpepeKkFr0xfr=x fr=xb9adbaqaaeGaciGaaiaabeqaamaabaabaaGcbaqcfaOaamywam aaBaaajuaibaGaaG4maaqcfayabaGaeyypa0JaeyOeI0IaaGimaiaa c6cacaaI5aGaaGimaiaaiAdacqGHsislcaaIWaGaaiOlaiaaigdaca aI3aGaaGynaiaadIhadaWgaaqcfasaaiaaigdaaKqbagqaaiabgUca RiaaicdacaGGUaGaaGinaiaaiodacaaIYaGaamiEamaaBaaajuaiba GaaGOmaaqcfayabaGaey4kaSIaaGymaiaac6cacaaI0aGaaGimaiaa iIdacaWG4bWaaSbaaKqbGeaacaaIXaaajuaGbeaacaWG4bWaaSbaaK qbGeaacaaIYaaajuaGbeaacqGHRaWkcaaIYaGaaGimaiaac6cacaaI 4aGaaGyoaiaaiMdacaWG4bWaaSbaaKqbGeaacaaIYaaajuaGbeaada ahaaqabKqbGeaacaaIYaaaaaaa@5F84@  (Eq. 10)

Y 3 =7.3080.752 x 1 12.306 x 2 +0.531 x 1 x 2 +0.0162 x 1 2 +7.406 x 2 2 MathType@MTEF@5@5@+= feaagKart1ev2aaatCvAUfeBSjuyZL2yd9gzLbvyNv2CaerbuLwBLn hiov2DGi1BTfMBaeXatLxBI9gBaerbd9wDYLwzYbItLDharqqtubsr 4rNCHbGeaGqiVu0Je9sqqrpepC0xbbL8F4rqqrFfpeea0xe9Lq=Jc9 vqaqpepm0xbba9pwe9Q8fs0=yqaqpepae9pg0FirpepeKkFr0xfr=x fr=xb9adbaqaaeGaciGaaiaabeqaamaabaabaaGcbaqcfaOaamywam aaBaaajuaibaGaaG4maaqcfayabaGaeyypa0JaaG4naiaac6cacaaI ZaGaaGimaiaaiIdacqGHsislcaaIWaGaaiOlaiaaiEdacaaI1aGaaG OmaiaadIhadaWgaaqcfasaaiaaigdaaKqbagqaaiabgkHiTiaaigda caaIYaGaaiOlaiaaiodacaaIWaGaaGOnaiaadIhadaWgaaqcfasaai aaikdaaKqbagqaaiabgUcaRiaaicdacaGGUaGaaGynaiaaiodacaaI XaGaamiEamaaBaaajuaibaGaaGymaaqcfayabaGaamiEamaaBaaaju aibaGaaGOmaaqcfayabaGaey4kaSIaaGimaiaac6cacaaIWaGaaGym aiaaiAdacaaIYaGaamiEamaaBaaajuaibaGaaGymaaqcfayabaWaaW baaeqajuaibaGaaGOmaaaajuaGcqGHRaWkcaaI3aGaaiOlaiaaisda caaIWaGaaGOnaiaadIhadaWgaaqcfasaaiaaikdaaKqbagqaamaaCa aabeqcfasaaiaaikdaaaaaaa@6808@  (Eq. 11)

Y 3 =13.7151.223 x 1 33.92 x 2 +1.12 x 1 x 2 +0.025 x 1 2 +25.183 x 2 2 MathType@MTEF@5@5@+= feaagKart1ev2aaatCvAUfeBSjuyZL2yd9gzLbvyNv2CaerbuLwBLn hiov2DGi1BTfMBaeXatLxBI9gBaerbd9wDYLwzYbItLDharqqtubsr 4rNCHbGeaGqiVu0Je9sqqrpepC0xbbL8F4rqqrFfpeea0xe9Lq=Jc9 vqaqpepm0xbba9pwe9Q8fs0=yqaqpepae9pg0FirpepeKkFr0xfr=x fr=xb9adbaqaaeGaciGaaiaabeqaamaabaabaaGcbaqcfaOaamywam aaBaaajuaibaGaaG4maaqcfayabaGaeyypa0JaaGymaiaaiodacaGG UaGaaG4naiaaigdacaaI1aGaeyOeI0IaaGymaiaac6cacaaIYaGaaG OmaiaaiodacaWG4bWaaSbaaKqbGeaacaaIXaaajuaGbeaacqGHsisl caaIZaGaaG4maiaac6cacaaI5aGaaGOmaiaadIhadaWgaaqcfasaai aaikdaaKqbagqaaiabgUcaRiaaigdacaGGUaGaaGymaiaaikdacaWG 4bWaaSbaaKqbGeaacaaIXaaajuaGbeaacaWG4bWaaSbaaKqbGeaaca aIYaaajuaGbeaacqGHRaWkcaaIWaGaaiOlaiaaicdacaaIYaGaaGyn aiaadIhadaWgaaqcfasaaiaaigdaaKqbagqaamaaCaaabeqcfasaai aaikdaaaqcfaOaey4kaSIaaGOmaiaaiwdacaGGUaGaaGymaiaaiIda caaIZaGaamiEamaaBaaajuaibaGaaGOmaaqcfayabaWaaWbaaeqaju aibaGaaGOmaaaaaaa@6747@  (Eq. 12)

Y 3 =22.0811.937 x 1 46.443 x 2 +1.797 x 1 x 2 +0.035 x 1 2 +29.839 x 2 2 MathType@MTEF@5@5@+= feaagKart1ev2aaatCvAUfeBSjuyZL2yd9gzLbvyNv2CaerbuLwBLn hiov2DGi1BTfMBaeXatLxBI9gBaerbd9wDYLwzYbItLDharqqtubsr 4rNCHbGeaGqiVu0Je9sqqrpepC0xbbL8F4rqqrFfpeea0xe9Lq=Jc9 vqaqpepm0xbba9pwe9Q8fs0=yqaqpepae9pg0FirpepeKkFr0xfr=x fr=xb9adbaqaaeGaciGaaiaabeqaamaabaabaaGcbaqcfaOaamywam aaBaaajuaibaGaaG4maaqcfayabaGaeyypa0JaaGOmaiaaikdacaGG UaGaaGimaiaaiIdacaaIXaGaeyOeI0IaaGymaiaac6cacaaI5aGaaG 4maiaaiEdacaWG4bWaaSbaaKqbGeaacaaIXaaajuaGbeaacqGHsisl caaI0aGaaGOnaiaac6cacaaI0aGaaGinaiaaiodacaWG4bWaaSbaaK qbGeaacaaIYaaajuaGbeaacqGHRaWkcaaIXaGaaiOlaiaaiEdacaaI 5aGaaG4naiaadIhadaWgaaqcfasaaiaaigdaaKqbagqaaiaadIhada WgaaqcfasaaiaaikdaaKqbagqaaiabgUcaRiaaicdacaGGUaGaaGim aiaaiodacaaI1aGaamiEamaaBaaajuaibaGaaGymaaqcfayabaWaaW baaeqajuaibaGaaGOmaaaajuaGcqGHRaWkcaaIYaGaaGyoaiaac6ca caaI4aGaaG4maiaaiMdacaWG4bWaaSbaaKqbGeaacaaIYaaajuaGbe aadaahaaqabKqbGeaacaaIYaaaaaaa@68E8@  (Eq. 13)

Y 3 =8.1660.172 x 1 79.796 x 2 +2.536 x 1 x 2 +78.926 x 2 2 MathType@MTEF@5@5@+= feaagKart1ev2aaatCvAUfeBSjuyZL2yd9gzLbvyNv2CaerbuLwBLn hiov2DGi1BTfMBaeXatLxBI9gBaerbd9wDYLwzYbItLDharqqtubsr 4rNCHbGeaGqiVu0Je9sqqrpepC0xbbL8F4rqqrFfpeea0xe9Lq=Jc9 vqaqpepm0xbba9pwe9Q8fs0=yqaqpepae9pg0FirpepeKkFr0xfr=x fr=xb9adbaqaaeGaciGaaiaabeqaamaabaabaaGcbaqcfaOaamywam aaBaaajuaibaGaaG4maaqcfayabaGaeyypa0JaaGioaiaac6cacaaI XaGaaGOnaiaaiAdacqGHsislcaaIWaGaaiOlaiaaigdacaaI3aGaaG OmaiaadIhadaWgaaqcfasaaiaaigdaaKqbagqaaiabgkHiTiaaiEda caaI5aGaaiOlaiaaiEdacaaI5aGaaGOnaiaadIhadaWgaaqcfasaai aaikdaaKqbagqaaiabgUcaRiaaikdacaGGUaGaaGynaiaaiodacaaI 2aGaamiEamaaBaaajuaibaGaaGymaaqcfayabaGaamiEamaaBaaaju aibaGaaGOmaaqcfayabaGaey4kaSIaaG4naiaaiIdacaGGUaGaaGyo aiaaikdacaaI2aGaamiEamaaBaaajuaibaGaaGOmaaqcfayabaWaaW baaeqajuaibaGaaGOmaaaaaaa@5F83@  (Eq. 14)

All the dressings had similar response surface plots for them value (Y3) as that shown in Figure 3(A). A synergistic effect between gum(s) and oil can be observed in the response plots, with maximum mvalues achieved at the highest combination level for the two variables. This behavior was most pronounced for dressings prepared with XG and XG-GG. This observation is supported by earlier reports on hydrocolloids solutions indicating that the magnitude of the consistency coefficient increased with an increase in the concentration of the GA-GG combination, as well as the GA-XG combination.6 Marcotte et al.27 also reported that m value increased with increasing gum content for carrageenan, pectin, gelatin, starch and xanthan gum. The increase in the viscous nature of the salad dressings (m value) with increasing oil content, especially at high gum concentration(s), is suggestive of the formation of a more compact network structure. Overall, the magnitude of the consistency coefficient (Y3) was highest for dressings prepared with XG-GG and XG and lowest for XG-GA within the range of concentrations studied. The dressings prepared with XG-PE and XG-PGA had intermediate values.

Figure 2 Response surface plots of power law model flow behavior index (n value) for dressings prepared with

  1. Xanthan gum (XG),
  2. Xanthan gum-propylene glycol alginate (XG-PGA),
  3. Xanthan gum-pectin (XG-PE), and
  4. Xanthan gum-guar gum (XG-GG).

Figure 3 Response surface plots of

  1. Power law model consistency coefficient (m value) for dressings prepared with xanthan gum-pectin (XG-PE).
  2. Power law model apparent viscosity (ηap) obtained at shear rate of 46.16s-1 for dressings prepared xanthan gum-gum Arabic (XG-GA).
  3. Power law model ηap for dressings prepared xanthan gum-pectin (XG-PE).
  4. Plateau modulus ( G N 0 MathType@MTEF@5@5@+= feaagKart1ev2aqatCvAUfeBSjuyZL2yd9gzLbvyNv2CaerbuLwBLn hiov2DGi1BTfMBaeXatLxBI9gBaerbd9wDYLwzYbItLDharqqtubsr 4rNCHbGeaGqiVu0Je9sqqrpepC0xbbL8F4rqqrFfpeea0xe9Lq=Jc9 vqaqpepm0xbba9pwe9Q8fs0=yqaqpepae9pg0FirpepeKkFr0xfr=x fr=xb9adbaqaaeGaciGaaiaabeqaamaabaabaaGcbaGaam4ramaaDa aaleaacaWGobWaaSbaaWqaaaqabaaaleaacaaIWaaaaaaa@38B5@ ) obtained during dynamic oscillatory testing for dressings prepared with xanthan gum (XG), (e) G N 0 MathType@MTEF@5@5@+= feaagKart1ev2aqatCvAUfeBSjuyZL2yd9gzLbvyNv2CaerbuLwBLn hiov2DGi1BTfMBaeXatLxBI9gBaerbd9wDYLwzYbItLDharqqtubsr 4rNCHbGeaGqiVu0Je9sqqrpepC0xbbL8F4rqqrFfpeea0xe9Lq=Jc9 vqaqpepm0xbba9pwe9Q8fs0=yqaqpepae9pg0FirpepeKkFr0xfr=x fr=xb9adbaqaaeGaciGaaiaabeqaamaabaabaaGcbaGaam4ramaaDa aaleaacaWGobWaaSbaaWqaaaqabaaaleaacaaIWaaaaaaa@38B5@ for dressings prepared with xanthan gum-propylene glycol alginate (XG-PGA).

Regression models of the apparent viscosity (ηap): The apparent viscosity (ηap) at a shear rate of 46.16s-1, which as reported is based on the shear rate of the perceived in-mouth thickness of normal fluids, was calculated according to the power law model.28 Multiple regression equations with R2of 0.995, 0.855, 0.931, 0.994, and 0.998 for dressings prepared with XG, XG-GA, XG-PGA, XG-PE, and XG-GG are presented in Eq. 15, 16, 17, 18, and 19, respectively.

Y 4 =0.23+0.0057 x 1 +0.449 x 2 +0.0366 x 1 x 2 +0.623 x 2 2 MathType@MTEF@5@5@+= feaagKart1ev2aaatCvAUfeBSjuyZL2yd9gzLbvyNv2CaerbuLwBLn hiov2DGi1BTfMBaeXatLxBI9gBaerbd9wDYLwzYbItLDharqqtubsr 4rNCHbGeaGqiVu0Je9sqqrpepC0xbbL8F4rqqrFfpeea0xe9Lq=Jc9 vqaqpepm0xbba9pwe9Q8fs0=yqaqpepae9pg0FirpepeKkFr0xfr=x fr=xb9adbaqaaeGaciGaaiaabeqaamaabaabaaGcbaqcfaOaamywam aaBaaajuaibaGaaGinaaqcfayabaGaeyypa0JaeyOeI0IaaGimaiaa c6cacaaIYaGaaG4maiabgUcaRiaaicdacaGGUaGaaGimaiaaicdaca aI1aGaaG4naiaadIhadaWgaaqcfasaaiaaigdaaKqbagqaaiabgUca RiaaicdacaGGUaGaaGinaiaaisdacaaI5aGaamiEamaaBaaajuaiba GaaGOmaaqcfayabaGaey4kaSIaaGimaiaac6cacaaIWaGaaG4maiaa iAdacaaI2aGaamiEamaaBaaajuaibaGaaGymaaqcfayabaGaamiEam aaBaaajuaibaGaaGOmaaqcfayabaGaey4kaSIaaGimaiaac6cacaaI 2aGaaGOmaiaaiodacaWG4bWaaSbaaKqbGeaacaaIYaaajuaGbeaada ahaaqabKqbGeaacaaIYaaaaaaa@5F68@  (Eq. 15)

Y 4 =0.152+0.0032 x 1 +0.151 x 2 +0.018 x 1 x 2 MathType@MTEF@5@5@+= feaagKart1ev2aaatCvAUfeBSjuyZL2yd9gzLbvyNv2CaerbuLwBLn hiov2DGi1BTfMBaeXatLxBI9gBaerbd9wDYLwzYbItLDharqqtubsr 4rNCHbGeaGqiVu0Je9sqqrpepC0xbbL8F4rqqrFfpeea0xe9Lq=Jc9 vqaqpepm0xbba9pwe9Q8fs0=yqaqpepae9pg0FirpepeKkFr0xfr=x fr=xb9adbaqaaeGaciGaaiaabeqaamaabaabaaGcbaqcfaOaamywam aaBaaajuaibaGaaGinaaqcfayabaGaeyypa0JaeyOeI0IaaGimaiaa c6cacaaIXaGaaGynaiaaikdacqGHRaWkcaaIWaGaaiOlaiaaicdaca aIWaGaaG4maiaaikdacaWG4bWaaSbaaKqbGeaacaaIXaaajuaGbeaa cqGHRaWkcaaIWaGaaiOlaiaaigdacaaI1aGaaGymaiaadIhadaWgaa qcfasaaiaaikdaaKqbagqaaiabgUcaRiaaicdacaGGUaGaaGimaiaa igdacaaI4aGaamiEamaaBaaajuaibaGaaGymaaqcfayabaGaamiEam aaBaaajuaibaGaaGOmaaqcfayabaaaaa@572B@  (Eq. 16)

Y 4 =0.2790.081 x 1 +0.675 x 2 +0.039 x 1 x 2 +0.002 x 2 2 MathType@MTEF@5@5@+= feaagKart1ev2aaatCvAUfeBSjuyZL2yd9gzLbvyNv2CaerbuLwBLn hiov2DGi1BTfMBaeXatLxBI9gBaerbd9wDYLwzYbItLDharqqtubsr 4rNCHbGeaGqiVu0Je9sqqrpepC0xbbL8F4rqqrFfpeea0xe9Lq=Jc9 vqaqpepm0xbba9pwe9Q8fs0=yqaqpepae9pg0FirpepeKkFr0xfr=x fr=xb9adbaqaaeGaciGaaiaabeqaamaabaabaaGcbaqcfaOaamywam aaBaaajuaibaGaaGinaaqcfayabaGaeyypa0JaaGimaiaac6cacaaI YaGaaG4naiaaiMdacqGHsislcaaIWaGaaiOlaiaaicdacaaI4aGaaG ymaiaadIhadaWgaaqcfasaaiaaigdaaKqbagqaaiabgUcaRiaaicda caGGUaGaaGOnaiaaiEdacaaI1aGaamiEamaaBaaajuaibaGaaGOmaa qcfayabaGaey4kaSIaaGimaiaac6cacaaIWaGaaG4maiaaiMdacaWG 4bWaaSbaaKqbGeaacaaIXaaajuaGbeaacaWG4bWaaSbaaKqbGeaaca aIYaaajuaGbeaacqGHRaWkcaaIWaGaaiOlaiaaicdacaaIWaGaaGOm aiaadIhadaWgaaqcfasaaiaaikdaaKqbagqaamaaCaaabeqcfasaai aaikdaaaaaaa@5DCB@  (Eq. 17)

Y 4 =0.6230.0696 x 1 0.97 x 2 +0.065 x 1 x 2 +0.0014 x 1 2 +0.806 x 2 2 MathType@MTEF@5@5@+= feaagKart1ev2aaatCvAUfeBSjuyZL2yd9gzLbvyNv2CaerbuLwBLn hiov2DGi1BTfMBaeXatLxBI9gBaerbd9wDYLwzYbItLDharqqtubsr 4rNCHbGeaGqiVu0Je9sqqrpepC0xbbL8F4rqqrFfpeea0xe9Lq=Jc9 vqaqpepm0xbba9pwe9Q8fs0=yqaqpepae9pg0FirpepeKkFr0xfr=x fr=xb9adbaqaaeGaciGaaiaabeqaamaabaabaaGcbaqcfaOaamywam aaBaaajuaibaGaaGinaaqcfayabaGaeyypa0JaaGimaiaac6cacaaI 2aGaaGOmaiaaiodacqGHsislcaaIWaGaaiOlaiaaicdacaaI2aGaaG yoaiaaiAdacaWG4bWaaSbaaKqbGeaacaaIXaaajuaGbeaacqGHsisl caaIWaGaaiOlaiaaiMdacaaI3aGaamiEamaaBaaajuaibaGaaGOmaa qcfayabaGaey4kaSIaaGimaiaac6cacaaIWaGaaGOnaiaaiwdacaWG 4bWaaSbaaKqbGeaacaaIXaaajuaGbeaacaWG4bWaaSbaaKqbGeaaca aIYaaajuaGbeaacqGHRaWkcaaIWaGaaiOlaiaaicdacaaIWaGaaGym aiaaisdacaWG4bWaaSbaaKqbGeaacaaIXaaajuaGbeaadaahaaqabK qbGeaacaaIYaaaaKqbakabgUcaRiaaicdacaGGUaGaaGioaiaaicda caaI2aGaamiEamaaBaaajuaibaGaaGOmaaqcfayabaWaaWbaaeqaju aibaGaaGOmaaaaaaa@674E@  (Eq. 18)

Y 4 =0.9160.0796 x 1 2.452 x 2 +0.118 x 1 x 2 +0.0015 x 1 2 +2.217 x 2 2 MathType@MTEF@5@5@+= feaagKart1ev2aaatCvAUfeBSjuyZL2yd9gzLbvyNv2CaerbuLwBLn hiov2DGi1BTfMBaeXatLxBI9gBaerbd9wDYLwzYbItLDharqqtubsr 4rNCHbGeaGqiVu0Je9sqqrpepC0xbbL8F4rqqrFfpeea0xe9Lq=Jc9 vqaqpepm0xbba9pwe9Q8fs0=yqaqpepae9pg0FirpepeKkFr0xfr=x fr=xb9adbaqaaeGaciGaaiaabeqaamaabaabaaGcbaqcfaOaamywam aaBaaajuaibaGaaGinaaqcfayabaGaeyypa0JaaGimaiaac6cacaaI 5aGaaGymaiaaiAdacqGHsislcaaIWaGaaiOlaiaaicdacaaI3aGaaG yoaiaaiAdacaWG4bWaaSbaaKqbGeaacaaIXaaajuaGbeaacqGHsisl caaIYaGaaiOlaiaaisdacaaI1aGaaGOmaiaadIhadaWgaaqcfasaai aaikdaaKqbagqaaiabgUcaRiaaicdacaGGUaGaaGymaiaaigdacaaI 4aGaamiEamaaBaaajuaibaGaaGymaaqcfayabaGaamiEamaaBaaaju aibaGaaGOmaaqcfayabaGaey4kaSIaaGimaiaac6cacaaIWaGaaGim aiaaigdacaaI1aGaamiEamaaBaaajuaibaGaaGymaaqcfayabaWaaW baaeqajuaibaGaaGOmaaaajuaGcqGHRaWkcaaIYaGaaiOlaiaaikda caaIXaGaaG4naiaadIhadaWgaaqcfasaaiaaikdaaKqbagqaamaaCa aabeqcfasaaiaaikdaaaaaaa@6809@  (Eq. 19)

All the response surface plots were similar to that shown in Figure 3B & Figure 3C, with an increase in gum(s) content and oil components yielding a linear (Figure 3B) or non-linear increase (Figure 3C) in ηap (Y4). The results indicate that the perceived mouth feel thickness (i.e., ηap at 46.16s-1) increased with increasing fat and hydrocolloid concentrations. The effect of oil on ηap (Y4) is in good agreement with the findings reported by Wendin et al.29 specifically that an increase in fat content increased perceived thickness, fattiness, and toughness during sensory analysis. The flow behavior of emulsions is determined by the colloidal nature of the continuous phase as well as by the average particle size distribution.30 An increase in oil (x1) and hydrocolloid content (x2) can lead to an increased degree of chain entanglement (i.e., hydrogen bonding with hydroxyl groups) and the distortion in the velocity pattern of the liquid by hydrated molecules of the solute in the emulsion system.31,32 It is, thus, likely that as the gum concentration increased, larger numbers of high molecular weight molecules formed in the emulsion, increasing the resistance to flow and, therefore, the apparent viscosity of the emulsion.

Regression models of the plateau modulus ( G o N MathType@MTEF@5@5@+= feaagKart1ev2aaatCvAUfeBSjuyZL2yd9gzLbvyNv2CaerbuLwBLn hiov2DGi1BTfMBaeXatLxBI9gBaerbd9wDYLwzYbItLDharqqtubsr 4rNCHbGeaGqiVu0Je9sqqrpepC0xbbL8F4rqqrFfpeea0xe9Lq=Jc9 vqaqpepm0xbba9pwe9Q8fs0=yqaqpepae9pg0FirpepeKkFr0xfr=x fr=xb9adbaqaaeGaciGaaiaabeqaamaabaabaaGcbiqaaWWajugibi aadEealmaaDaaabaqcLbmacaWGVbaaleaajugWaiaad6eaaaaaaa@3BBE@ ): Both the storage modulus (G′) and the loss modulus (G″), as measured during the dynamic oscillatory tests, were frequency-dependent and they both increased with increasing frequency (results not shown). G′ was significantly greater than G″ across the tested frequency range for all samples indicative of a predominantly elastic character. A plateau region observed in the oscillation curves at high frequencies may reflect a gel-like structure of a flocculated emulsion with the development of an entangled network.25,33 The statistically significant second-order polynomial models with R2 of 0.931 and 0.903 for dressings prepared with XG or XG-PGA are presented in Eq. 20 and 21, respectively.

Y 5 =96.826216.49 x 2 +284.53 x 2 2 MathType@MTEF@5@5@+= feaagKart1ev2aaatCvAUfeBSjuyZL2yd9gzLbvyNv2CaerbuLwBLn hiov2DGi1BTfMBaeXatLxBI9gBaerbd9wDYLwzYbItLDharqqtubsr 4rNCHbGeaGqiVu0Je9sqqrpepC0xbbL8F4rqqrFfpeea0xe9Lq=Jc9 vqaqpepm0xbba9pwe9Q8fs0=yqaqpepae9pg0FirpepeKkFr0xfr=x fr=xb9adbaqaaeGaciGaaiaabeqaamaabaabaaGcbaqcfaOaamywam aaBaaajuaibaGaaGynaaqcfayabaGaeyypa0JaaGyoaiaaiAdacaGG UaGaaGioaiaaikdacaaI2aGaeyOeI0IaaGOmaiaaigdacaaI2aGaai OlaiaaisdacaaI5aGaamiEamaaBaaajuaibaGaaGOmaaqcfayabaGa ey4kaSIaaGOmaiaaiIdacaaI0aGaaiOlaiaaiwdacaaIZaGaamiEam aaBaaajuaibaGaaGOmaaqcfayabaWaaWbaaeqajuaibaGaaGOmaaaa aaa@4F52@  (Eq. 20)

Y 5 =19.6433.219 x 1 0.915 x 2 +1.843 x 1 x 2 +0.078 x 1 2 MathType@MTEF@5@5@+= feaagKart1ev2aaatCvAUfeBSjuyZL2yd9gzLbvyNv2CaerbuLwBLn hiov2DGi1BTfMBaeXatLxBI9gBaerbd9wDYLwzYbItLDharqqtubsr 4rNCHbGeaGqiVu0Je9sqqrpepC0xbbL8F4rqqrFfpeea0xe9Lq=Jc9 vqaqpepm0xbba9pwe9Q8fs0=yqaqpepae9pg0FirpepeKkFr0xfr=x fr=xb9adbaqaaeGaciGaaiaabeqaamaabaabaaGcbaqcfaOaamywam aaBaaajuaibaGaaGynaaqcfayabaGaeyypa0JaaGymaiaaiMdacaGG UaGaaGOnaiaaisdacaaIZaGaeyOeI0IaaG4maiaac6cacaaIYaGaaG ymaiaaiMdacaWG4bWaaSbaaKqbGeaacaaIXaaajuaGbeaacqGHsisl caaIWaGaaiOlaiaaiMdacaaIXaGaaGynaiaadIhadaWgaaqcfasaai aaikdaaKqbagqaaiabgUcaRiaaigdacaGGUaGaaGioaiaaisdacaaI ZaGaamiEamaaBaaajuaibaGaaGymaaqcfayabaGaamiEamaaBaaaju aibaGaaGOmaaqcfayabaGaey4kaSIaaGimaiaac6cacaaIWaGaaG4n aiaaiIdacaWG4bWaaSbaaKqbGeaacaaIXaaajuaGbeaadaahaaqabK qbGeaacaaIYaaaaaaa@5EA9@  (Eq. 21)

Figure 3D & 3E shows the three-dimensional response surface plots for the independent variables and their interactions with the predictive model for the plateau modulus ( G o N MathType@MTEF@5@5@+= feaagKart1ev2aaatCvAUfeBSjuyZL2yd9gzLbvyNv2CaerbuLwBLn hiov2DGi1BTfMBaeXatLxBI9gBaerbd9wDYLwzYbItLDharqqtubsr 4rNCHbGeaGqiVu0Je9sqqrpepC0xbbL8F4rqqrFfpeea0xe9Lq=Jc9 vqaqpepm0xbba9pwe9Q8fs0=yqaqpepae9pg0FirpepeKkFr0xfr=x fr=xb9adbaqaaeGaciGaaiaabeqaamaabaabaaGcbiqaaWWajugibi aadEealmaaDaaabaqcLbmacaWGVbaaleaajugWaiaad6eaaaaaaa@3BBE@ ). G N 0 MathType@MTEF@5@5@+= feaagKart1ev2aaatCvAUfeBSjuyZL2yd9gzLbvyNv2CaerbuLwBLn hiov2DGi1BTfMBaeXatLxBI9gBaerbd9wDYLwzYbItLDharqqtubsr 4rNCHbGeaGqiVu0Je9sqqrpepC0xbbL8F4rqqrFfpeea0xe9Lq=Jc9 vqaqpepm0xbba9pwe9Q8fs0=yqaqpepae9pg0FirpepeKkFr0xfr=x fr=xb9adbaqaaeGaciGaaiaabeqaamaabaabaaGcbaqcLbsacaWGhb WcdaqhaaqaaKqzadGaamOtaaWcbaqcLbmacaaIWaaaaaaa@3B72@  (Y5) increased with an increase in gum content, especially for XG (Figure 3D) which showed significant increases at all oil concentrations within the experimental range studied. For the dressings prepared with XG-PGA, higher oil concentrations resulted in higher increases in G o N MathType@MTEF@5@5@+= feaagKart1ev2aaatCvAUfeBSjuyZL2yd9gzLbvyNv2CaerbuLwBLn hiov2DGi1BTfMBaeXatLxBI9gBaerbd9wDYLwzYbItLDharqqtubsr 4rNCHbGeaGqiVu0Je9sqqrpepC0xbbL8F4rqqrFfpeea0xe9Lq=Jc9 vqaqpepm0xbba9pwe9Q8fs0=yqaqpepae9pg0FirpepeKkFr0xfr=x fr=xb9adbaqaaeGaciGaaiaabeqaamaabaabaaGcbiqaaWWajugibi aadEealmaaDaaabaqcLbmacaWGVbaaleaajugWaiaad6eaaaaaaa@3BBE@ (Figure 3E). G o N MathType@MTEF@5@5@+= feaagKart1ev2aaatCvAUfeBSjuyZL2yd9gzLbvyNv2CaerbuLwBLn hiov2DGi1BTfMBaeXatLxBI9gBaerbd9wDYLwzYbItLDharqqtubsr 4rNCHbGeaGqiVu0Je9sqqrpepC0xbbL8F4rqqrFfpeea0xe9Lq=Jc9 vqaqpepm0xbba9pwe9Q8fs0=yqaqpepae9pg0FirpepeKkFr0xfr=x fr=xb9adbaqaaeGaciGaaiaabeqaamaabaabaaGcbiqaaWWajugibi aadEealmaaDaaabaqcLbmacaWGVbaaleaajugWaiaad6eaaaaaaa@3BBE@ is a measure of the intensity of the entangled network that develops between the adsorbed and non-adsorbed protein molecules.33 The results are supported by the study of Raymundo et al.25 & Gallegos et al.34 who found that the G o N MathType@MTEF@5@5@+= feaagKart1ev2aaatCvAUfeBSjuyZL2yd9gzLbvyNv2CaerbuLwBLn hiov2DGi1BTfMBaeXatLxBI9gBaerbd9wDYLwzYbItLDharqqtubsr 4rNCHbGeaGqiVu0Je9sqqrpepC0xbbL8F4rqqrFfpeea0xe9Lq=Jc9 vqaqpepm0xbba9pwe9Q8fs0=yqaqpepae9pg0FirpepeKkFr0xfr=x fr=xb9adbaqaaeGaciGaaiaabeqaamaabaabaaGcbiqaaWWajugibi aadEealmaaDaaabaqcLbmacaWGVbaaleaajugWaiaad6eaaaaaaa@3BBE@ values of mayonnaise increased with increasing xanthan gum and oil content in commercial mayonnaise and low-fat oil-in-water emulsions based on different formulations, due to an increase in both viscoelastic functions (i.e., G′ and G″).

Regression models of color parameters (L*, a*, and b* values) : The appearance of salad dressings is very important for consumer acceptability and color has a major impact on perceived appearance. The multiple regression models applied to the L* value (Y6) with R2 of 0.645, 0.696, 0.887, 0.866, and 0.980for dressings prepared with XG, XG-GA, XG-PGA, XG-PE, and XG-GG, respectively, are given by the following equations:

Y 6 =47.457+0.316 x 1 +7.584 x 2 MathType@MTEF@5@5@+= feaagKart1ev2aaatCvAUfeBSjuyZL2yd9gzLbvyNv2CaerbuLwBLn hiov2DGi1BTfMBaeXatLxBI9gBaerbd9wDYLwzYbItLDharqqtubsr 4rNCHbGeaGqiVu0Je9sqqrpepC0xbbL8F4rqqrFfpeea0xe9Lq=Jc9 vqaqpepm0xbba9pwe9Q8fs0=yqaqpepae9pg0FirpepeKkFr0xfr=x fr=xb9adbaqaaeGaciGaaiaabeqaamaabaabaaGcbaqcfaOaamywam aaBaaajuaibaGaaGOnaaqcfayabaGaeyypa0JaaGinaiaaiEdacaGG UaGaaGinaiaaiwdacaaI3aGaey4kaSIaaGimaiaac6cacaaIZaGaaG ymaiaaiAdacaWG4bWaaSbaaKqbGeaacaaIXaaajuaGbeaacqGHRaWk caaI3aGaaiOlaiaaiwdacaaI4aGaaGinaiaadIhadaWgaaqcfasaai aaikdaaKqbagqaaaaa@4CB9@  (Eq. 22)

Y 6 =43.727+0.419 x 1 +6.452 x 2 MathType@MTEF@5@5@+= feaagKart1ev2aaatCvAUfeBSjuyZL2yd9gzLbvyNv2CaerbuLwBLn hiov2DGi1BTfMBaeXatLxBI9gBaerbd9wDYLwzYbItLDharqqtubsr 4rNCHbGeaGqiVu0Je9sqqrpepC0xbbL8F4rqqrFfpeea0xe9Lq=Jc9 vqaqpepm0xbba9pwe9Q8fs0=yqaqpepae9pg0FirpepeKkFr0xfr=x fr=xb9adbaqaaeGaciGaaiaabeqaamaabaabaaGcbaqcfaOaamywam aaBaaajuaibaGaaGOnaaqcfayabaGaeyypa0JaaGinaiaaiodacaGG UaGaaG4naiaaikdacaaI3aGaey4kaSIaaGimaiaac6cacaaI0aGaaG ymaiaaiMdacaWG4bWaaSbaaKqbGeaacaaIXaaajuaGbeaacqGHRaWk caaI2aGaaiOlaiaaisdacaaI1aGaaGOmaiaadIhadaWgaaqcfasaai aaikdaaKqbagqaaaaa@4CB2@  (Eq. 23)

Y 6 =46.777+0.484 x 1 +5.753 x 2 MathType@MTEF@5@5@+= feaagKart1ev2aaatCvAUfeBSjuyZL2yd9gzLbvyNv2CaerbuLwBLn hiov2DGi1BTfMBaeXatLxBI9gBaerbd9wDYLwzYbItLDharqqtubsr 4rNCHbGeaGqiVu0Je9sqqrpepC0xbbL8F4rqqrFfpeea0xe9Lq=Jc9 vqaqpepm0xbba9pwe9Q8fs0=yqaqpepae9pg0FirpepeKkFr0xfr=x fr=xb9adbaqaaeGaciGaaiaabeqaamaabaabaaGcbaqcfaOaamywam aaBaaajuaibaGaaGOnaaqcfayabaGaeyypa0JaaGinaiaaiAdacaGG UaGaaG4naiaaiEdacaaI3aGaey4kaSIaaGimaiaac6cacaaI0aGaaG ioaiaaisdacaWG4bWaaSbaaKqbGeaacaaIXaaajuaGbeaacqGHRaWk caaI1aGaaiOlaiaaiEdacaaI1aGaaG4maiaadIhadaWgaaqcfasaai aaikdaaKqbagqaaaaa@4CBF@  (Eq. 24)

Y 6 =43.568+0.495 x 1 +7.147 x 2 MathType@MTEF@5@5@+= feaagKart1ev2aaatCvAUfeBSjuyZL2yd9gzLbvyNv2CaerbuLwBLn hiov2DGi1BTfMBaeXatLxBI9gBaerbd9wDYLwzYbItLDharqqtubsr 4rNCHbGeaGqiVu0Je9sqqrpepC0xbbL8F4rqqrFfpeea0xe9Lq=Jc9 vqaqpepm0xbba9pwe9Q8fs0=yqaqpepae9pg0FirpepeKkFr0xfr=x fr=xb9adbaqaaeGaciGaaiaabeqaamaabaabaaGcbaqcfaOaamywam aaBaaajuaibaGaaGOnaaqcfayabaGaeyypa0JaaGinaiaaiodacaGG UaGaaGynaiaaiAdacaaI4aGaey4kaSIaaGimaiaac6cacaaI0aGaaG yoaiaaiwdacaWG4bWaaSbaaKqbGeaacaaIXaaajuaGbeaacqGHRaWk caaI3aGaaiOlaiaaigdacaaI0aGaaG4naiaadIhadaWgaaqcfasaai aaikdaaKqbagqaaaaa@4CBB@  (Eq. 25)

Y 6 =55.486+0.741 x 1 5.343 x 2 +0.12 x 1 x 2 0.014 x 1 2 MathType@MTEF@5@5@+= feaagKart1ev2aaatCvAUfeBSjuyZL2yd9gzLbvyNv2CaerbuLwBLn hiov2DGi1BTfMBaeXatLxBI9gBaerbd9wDYLwzYbItLDharqqtubsr 4rNCHbGeaGqiVu0Je9sqqrpepC0xbbL8F4rqqrFfpeea0xe9Lq=Jc9 vqaqpepm0xbba9pwe9Q8fs0=yqaqpepae9pg0FirpepeKkFr0xfr=x fr=xb9adbaqaaeGaciGaaiaabeqaamaabaabaaGcbaqcfaOaamywam aaBaaajuaibaGaaGOnaaqcfayabaGaeyypa0JaaGynaiaaiwdacaGG UaGaaGinaiaaiIdacaaI2aGaey4kaSIaaGimaiaac6cacaaI3aGaaG inaiaaigdacaWG4bWaaSbaaKqbGeaacaaIXaaajuaGbeaacqGHsisl caaI1aGaaiOlaiaaiodacaaI0aGaaG4maiaadIhadaWgaaqcfasaai aaikdaaKqbagqaaiabgUcaRiaaicdacaGGUaGaaGymaiaaikdacaWG 4bWaaSbaaKqbGeaacaaIXaaajuaGbeaacaWG4bWaaSbaaKqbGeaaca aIYaaajuaGbeaacqGHsislcaaIWaGaaiOlaiaaicdacaaIXaGaaGin aiaadIhadaWgaaqcfasaaiaaigdaaKqbagqaamaaCaaabeqcfasaai aaikdaaaaaaa@5DDB@  (Eq. 26)

In general, the dressings prepared with XG, XG-PGA, and XG-PE yielded response surface plots similar to that shown in Figure 4A for dressings with XG-GA. The positive coefficients for the two independent variables (x1, x2) in the equation (Eq. 22-25) indicate that the response variable Y6 (L* value) increased with an increase in both variables (oil, x1; and gum, x2). In the case of dressings prepared with XG-GG, as observed in Eq. 26, both the oil (x1) and gum (x2) concentrations individually and the quadratic terms of x1, as well as the interaction terms of x1 and x2,significantly influenced the lightness of the lentil supplemented dressings which explains the difference in the response surface plot (Figure 4B).

Figure 4C-G and Eq. (27-31) present the response surfaces and statistical models of a* values (Y7) for dressings prepared with XG, XG-GA, XG-PGA, XG-PE, and XG-GG, respectively.

Y 7 =0.982+0.009 x 1 +0.788 x 2 0.442 x 2 2 MathType@MTEF@5@5@+= feaagKart1ev2aaatCvAUfeBSjuyZL2yd9gzLbvyNv2CaerbuLwBLn hiov2DGi1BTfMBaeXatLxBI9gBaerbd9wDYLwzYbItLDharqqtubsr 4rNCHbGeaGqiVu0Je9sqqrpepC0xbbL8F4rqqrFfpeea0xe9Lq=Jc9 vqaqpepm0xbba9pwe9Q8fs0=yqaqpepae9pg0FirpepeKkFr0xfr=x fr=xb9adbaqaaeGaciGaaiaabeqaamaabaabaaGcbaqcfaOaamywam aaBaaabaWaaSraaKqbGeaacaaI3aaajuaGbeaaaeqaaiabg2da9iab gkHiTiaaicdacaGGUaGaaGyoaiaaiIdacaaIYaGaey4kaSIaaGimai aac6cacaaIWaGaaGimaiaaiMdacaWG4bWaaSbaaKqbGeaacaaIXaaa juaGbeaacqGHRaWkcaaIWaGaaiOlaiaaiEdacaaI4aGaaGioaiaadI hadaWgaaqcfasaaiaaikdaaKqbagqaaiabgkHiTiaaicdacaGGUaGa aGinaiaaisdacaaIYaGaamiEamaaBaaajuaibaGaaGOmaaqcfayaba WaaWbaaeqajuaibaGaaGOmaaaaaaa@5538@  (Eq. 27)

Y 7 =1.567+0.017 x 1 +1.084 x 2 0.434 x 2 2 MathType@MTEF@5@5@+= feaagKart1ev2aaatCvAUfeBSjuyZL2yd9gzLbvyNv2CaerbuLwBLn hiov2DGi1BTfMBaeXatLxBI9gBaerbd9wDYLwzYbItLDharqqtubsr 4rNCHbGeaGqiVu0Je9sqqrpepC0xbbL8F4rqqrFfpeea0xe9Lq=Jc9 vqaqpepm0xbba9pwe9Q8fs0=yqaqpepae9pg0FirpepeKkFr0xfr=x fr=xb9adbaqaaeGaciGaaiaabeqaamaabaabaaGcbaqcfaOaamywam aaBaaabaWaaSraaKqbGeaacaaI3aaajuaGbeaaaeqaaiabg2da9iab gkHiTiaaigdacaGGUaGaaGynaiaaiAdacaaI3aGaey4kaSIaaGimai aac6cacaaIWaGaaGymaiaaiEdacaWG4bWaaSbaaKqbGeaacaaIXaaa juaGbeaacqGHRaWkcaaIXaGaaiOlaiaaicdacaaI4aGaaGinaiaadI hadaWgaaqcfasaaiaaikdaaKqbagqaaiabgkHiTiaaicdacaGGUaGa aGinaiaaiodacaaI0aGaamiEamaaBaaajuaibaGaaGOmaaqcfayaba WaaWbaaeqajuaibaGaaGOmaaaaaaa@552E@  (Eq. 28)

Y 7 =0.941+0.048 x 1 0.001 x 1 2 MathType@MTEF@5@5@+= feaagKart1ev2aaatCvAUfeBSjuyZL2yd9gzLbvyNv2CaerbuLwBLn hiov2DGi1BTfMBaeXatLxBI9gBaerbd9wDYLwzYbItLDharqqtubsr 4rNCHbGeaGqiVu0Je9sqqrpepC0xbbL8F4rqqrFfpeea0xe9Lq=Jc9 vqaqpepm0xbba9pwe9Q8fs0=yqaqpepae9pg0FirpepeKkFr0xfr=x fr=xb9adbaqaaeGaciGaaiaabeqaamaabaabaaGcbaqcfaOaamywam aaBaaabaWaaSraaKqbGeaacaaI3aaajuaGbeaaaeqaaiabg2da9iab gkHiTiaaicdacaGGUaGaaGyoaiaaisdacaaIXaGaey4kaSIaaGimai aac6cacaaIWaGaaGinaiaaiIdacaWG4bWaaSbaaKqbGeaacaaIXaaa juaGbeaacqGHsislcaaIWaGaaiOlaiaaicdacaaIWaGaaGymaiaadI hadaWgaaqcfasaaiaaigdaaKqbagqaamaaCaaabeqcfasaaiaaikda aaaaaa@4E03@  (Eq. 29)

Y 7 =1.860+0.067 x 1 +1.327 x 2 0.0158 x 1 x 2 0.001 x 1 2 0.453 x 2 2 MathType@MTEF@5@5@+= feaagKart1ev2aaatCvAUfeBSjuyZL2yd9gzLbvyNv2CaerbuLwBLn hiov2DGi1BTfMBaeXatLxBI9gBaerbd9wDYLwzYbItLDharqqtubsr 4rNCHbGeaGqiVu0Je9sqqrpepC0xbbL8F4rqqrFfpeea0xe9Lq=Jc9 vqaqpepm0xbba9pwe9Q8fs0=yqaqpepae9pg0FirpepeKkFr0xfr=x fr=xb9adbaqaaeGaciGaaiaabeqaamaabaabaaGcbaqcfaOaamywam aaBaaabaWaaSraaKqbGeaacaaI3aaajuaGbeaaaeqaaiabg2da9iab gkHiTiaaigdacaGGUaGaaGioaiaaiAdacaaIWaGaey4kaSIaaGimai aac6cacaaIWaGaaGOnaiaaiEdacaWG4bWaaSbaaKqbGeaacaaIXaaa juaGbeaacqGHRaWkcaaIXaGaaiOlaiaaiodacaaIYaGaaG4naiaadI hadaWgaaqcfasaaiaaikdaaKqbagqaaiabgkHiTiaaicdacaGGUaGa aGimaiaaigdacaaI1aGaaGioaiaadIhadaWgaaqcfasaaiaaigdaaK qbagqaaiaadIhadaWgaaqcfasaaiaaikdaaKqbagqaaiabgkHiTiaa icdacaGGUaGaaGimaiaaicdacaaIXaGaamiEamaaBaaajuaibaGaaG ymaaqcfayabaWaaWbaaeqajuaibaGaaGOmaaaajuaGcqGHsislcaaI WaGaaiOlaiaaisdacaaI1aGaaG4maiaadIhadaWgaaqcfasaaiaaik daaKqbagqaamaaCaaabeqcfasaaiaaikdaaaaaaa@6861@  (Eq. 30)

Y 7 =0.881+0.011 x 1 +0.463 x 2 0.321 x 2 2 MathType@MTEF@5@5@+= feaagKart1ev2aaatCvAUfeBSjuyZL2yd9gzLbvyNv2CaerbuLwBLn hiov2DGi1BTfMBaeXatLxBI9gBaerbd9wDYLwzYbItLDharqqtubsr 4rNCHbGeaGqiVu0Je9sqqrpepC0xbbL8F4rqqrFfpeea0xe9Lq=Jc9 vqaqpepm0xbba9pwe9Q8fs0=yqaqpepae9pg0FirpepeKkFr0xfr=x fr=xb9adbaqaaeGaciGaaiaabeqaamaabaabaaGcbaqcfaOaamywam aaBaaabaWaaSraaKqbGeaacaaI3aaajuaGbeaaaeqaaiabg2da9iab gkHiTiaaicdacaGGUaGaaGioaiaaiIdacaaIXaGaey4kaSIaaGimai aac6cacaaIWaGaaGymaiaaigdacaWG4bWaaSbaaKqbGeaacaaIXaaa juaGbeaacqGHRaWkcaaIWaGaaiOlaiaaisdacaaI2aGaaG4maiaadI hadaWgaaqcfasaaiaaikdaaKqbagqaaiabgkHiTiaaicdacaGGUaGa aG4maiaaikdacaaIXaGaamiEamaaBaaajuaibaGaaGOmaaqcfayaba WaaWbaaeqajuaibaGaaGOmaaaaaaa@5521@  (Eq. 31)

In general, the a* value (Y7) increased with oil concentration for dressings with XG (Figure 4C), XG-GA (Figure 4D), XG-PE (Figure 4F), and XG-GG (Figure 4G). The effect of oil on Y7 for the dressing with XG-PGA was quite different (Figure 4E) (i.e., the a* value increased with an increase in oil up to an oil content of 24.7% but decreased afterwards).

The effects of the oil and gum concentrations on b* values (Y8) are shown in Figure 5A & B. The multiple regression equations for dressings prepared with XG-PE and XG-GG are presented below (Eq. 32, and 33, respectively).

Y 8 =1.372+0.354 x 1 +7.917 x 2 0.152 x 1 x 2 0.004 x 1 2 1.994 x 2 2 MathType@MTEF@5@5@+= feaagKart1ev2aaatCvAUfeBSjuyZL2yd9gzLbvyNv2CaerbuLwBLn hiov2DGi1BTfMBaeXatLxBI9gBaerbd9wDYLwzYbItLDharqqtubsr 4rNCHbGeaGqiVu0Je9sqqrpepC0xbbL8F4rqqrFfpeea0xe9Lq=Jc9 vqaqpepm0xbba9pwe9Q8fs0=yqaqpepae9pg0FirpepeKkFr0xfr=x fr=xb9adbaqaaeGaciGaaiaabeqaamaabaabaaGcbaqcfaOaamywam aaBaaabaWaaSraaKqbGeaacaaI4aaajuaGbeaaaeqaaiabg2da9iaa igdacaGGUaGaaG4maiaaiEdacaaIYaGaey4kaSIaaGimaiaac6caca aIZaGaaGynaiaaisdacaWG4bWaaSbaaKqbGeaacaaIXaaajuaGbeaa cqGHRaWkcaaI3aGaaiOlaiaaiMdacaaIXaGaaG4naiaadIhadaWgaa qcfasaaiaaikdaaKqbagqaaiabgkHiTiaaicdacaGGUaGaaGymaiaa iwdacaaIYaGaamiEamaaBaaajuaibaGaaGymaaqcfayabaGaamiEam aaBaaajuaibaGaaGOmaaqcfayabaGaeyOeI0IaaGimaiaac6cacaaI WaGaaGimaiaaisdacaWG4bWaaSbaaKqbGeaacaaIXaaajuaGbeaada ahaaqabKqbGeaacaaIYaaaaKqbakabgkHiTiaaigdacaGGUaGaaGyo aiaaiMdacaaI0aGaamiEamaaBaaajuaibaGaaGOmaaqcfayabaWaaW baaeqajuaibaGaaGOmaaaaaaa@66CB@ (Eq. 32)

Y 8 =7.131+0.18 x 1 0.004 x 1 2 MathType@MTEF@5@5@+= feaagKart1ev2aaatCvAUfeBSjuyZL2yd9gzLbvyNv2CaerbuLwBLn hiov2DGi1BTfMBaeXatLxBI9gBaerbd9wDYLwzYbItLDharqqtubsr 4rNCHbGeaGqiVu0Je9sqqrpepC0xbbL8F4rqqrFfpeea0xe9Lq=Jc9 vqaqpepm0xbba9pwe9Q8fs0=yqaqpepae9pg0FirpepeKkFr0xfr=x fr=xb9adbaqaaeGaciGaaiaabeqaamaabaabaaGcbaqcfaOaamywam aaBaaajuaibaGaaGioaaqcfayabaGaeyypa0JaaG4naiaac6cacaaI XaGaaG4maiaaigdacqGHRaWkcaaIWaGaaiOlaiaaigdacaaI4aGaam iEamaaBaaajuaibaGaaGymaaqcfayabaGaeyOeI0IaaGimaiaac6ca caaIWaGaaGimaiaaisdacaWG4bWaaSbaaKqbGeaacaaIXaaajuaGbe aadaahaaqabKqbGeaacaaIYaaaaaaa@4C39@ (Eq. 33)

The regression equations and the three-dimensional plots for ΔE values (Y9) for dressings prepared with XG-PGA and XG-GG are presented in Eq. (34, 35) and Figure 5C & D respectively.

Y 9 =7.506+0.142 x 1 +1.782 x 2 MathType@MTEF@5@5@+= feaagKart1ev2aaatCvAUfeBSjuyZL2yd9gzLbvyNv2CaerbuLwBLn hiov2DGi1BTfMBaeXatLxBI9gBaerbd9wDYLwzYbItLDharqqtubsr 4rNCHbGeaGqiVu0Je9sqqrpepC0xbbL8F4rqqrFfpeea0xe9Lq=Jc9 vqaqpepm0xbba9pwe9Q8fs0=yqaqpepae9pg0FirpepeKkFr0xfr=x fr=xb9adbaqaaeGaciGaaiaabeqaamaabaabaaGcbaqcfaOaamywam aaBaaajuaibaGaaGyoaaqcfayabaGaeyypa0JaaG4naiaac6cacaaI 1aGaaGimaiaaiAdacqGHRaWkcaaIWaGaaiOlaiaaigdacaaI0aGaaG OmaiaadIhadaWgaaqcfasaaiaaigdaaKqbagqaaiabgUcaRiaaigda caGGUaGaaG4naiaaiIdacaaIYaGaamiEamaaBaaajuaibaGaaGOmaa qcfayabaaaaa@4BF0@ (Eq. 34)

Y 9 =7.044+0.318 x 1 0.005 x 1 2 MathType@MTEF@5@5@+= feaagKart1ev2aaatCvAUfeBSjuyZL2yd9gzLbvyNv2CaerbuLwBLn hiov2DGi1BTfMBaeXatLxBI9gBaerbd9wDYLwzYbItLDharqqtubsr 4rNCHbGeaGqiVu0Je9sqqrpepC0xbbL8F4rqqrFfpeea0xe9Lq=Jc9 vqaqpepm0xbba9pwe9Q8fs0=yqaqpepae9pg0FirpepeKkFr0xfr=x fr=xb9adbaqaaeGaciGaaiaabeqaamaabaabaaGcbaqcfaOaamywam aaBaaajuaibaGaaGyoaaqcfayabaGaeyypa0JaaG4naiaac6cacaaI WaGaaGinaiaaisdacqGHRaWkcaaIWaGaaiOlaiaaiodacaaIXaGaaG ioaiaadIhadaWgaaqcfasaaiaaigdaaKqbagqaaiabgkHiTiaaicda caGGUaGaaGimaiaaicdacaaI1aGaamiEamaaBaaajuaibaGaaGymaa qcfayabaWaaWbaaeqajuaibaGaaGOmaaaaaaa@4CFB@ (Eq. 35)

An increase in oil/gum concentration resulted in higher b* (Y8) values at lower gum/oil content for dressings prepared with XG-PE (Figure 5A). The Y8 values increased with an increase in oil up to an oil content of 21.25% but decreased afterwards for dressings prepared with XG-GG (Figure 5B). An increase in oil content generally yielded greater ΔE value (Y9) for dressings with XG-PGA and XG-GG (Figure 5C & D).

Chroma, which represents the color intensity of samples, gives a better description of the spatial position of the measured color. Figure 5E-H and Eq. (36-39) present the response surfaces and multiple regression equations for chroma (Y10) for dressings prepared with XG-GA, XG-PGA, XG-PE, and XG-GG, respectively.

Y 10 =11.986+0.136 x 1 MathType@MTEF@5@5@+= feaagKart1ev2aaatCvAUfeBSjuyZL2yd9gzLbvyNv2CaerbuLwBLn hiov2DGi1BTfMBaeXatLxBI9gBaerbd9wDYLwzYbItLDharqqtubsr 4rNCHbGeaGqiVu0Je9sqqrpepC0xbbL8F4rqqrFfpeea0xe9Lq=Jc9 vqaqpepm0xbba9pwe9Q8fs0=yqaqpepae9pg0FirpepeKkFr0xfr=x fr=xb9adbaqaaeGaciGaaiaabeqaamaabaabaaGcbaqcfaOaamywam aaBaaajuaibaGaaGymaiaaicdaaKqbagqaaiabg2da9iaaigdacaaI XaGaaiOlaiaaiMdacaaI4aGaaGOnaiabgUcaRiaaicdacaGGUaGaaG ymaiaaiodacaaI2aGaamiEamaaBaaajuaibaGaaGymaaqcfayabaaa aa@4642@ (Eq. 36)

Y 10 =7.749+0.488 x 1 +1.704 x 2 0.008 x 1 2 MathType@MTEF@5@5@+= feaagKart1ev2aaatCvAUfeBSjuyZL2yd9gzLbvyNv2CaerbuLwBLn hiov2DGi1BTfMBaeXatLxBI9gBaerbd9wDYLwzYbItLDharqqtubsr 4rNCHbGeaGqiVu0Je9sqqrpepC0xbbL8F4rqqrFfpeea0xe9Lq=Jc9 vqaqpepm0xbba9pwe9Q8fs0=yqaqpepae9pg0FirpepeKkFr0xfr=x fr=xb9adbaqaaeGaciGaaiaabeqaamaabaabaaGcbaqcfaOaamywam aaBaaajuaibaGaaGymaiaaicdaaKqbagqaaiabg2da9iaaiEdacaGG UaGaaG4naiaaisdacaaI5aGaey4kaSIaaGimaiaac6cacaaI0aGaaG ioaiaaiIdacaWG4bWaaSbaaKqbGeaacaaIXaaajuaGbeaacqGHRaWk caaIXaGaaiOlaiaaiEdacaaIWaGaaGinaiaadIhadaWgaaqcfasaai aaikdaaKqbagqaaiabgkHiTiaaicdacaGGUaGaaGimaiaaicdacaaI 4aGaamiEamaaBaaajuaibaGaaGymaaqcfayabaWaaWbaaeqajuaiba GaaGOmaaaaaaa@54E2@ (Eq. 37)

Y 10 =10.366+0.109 x 1 +2.325 x 2 MathType@MTEF@5@5@+= feaagKart1ev2aaatCvAUfeBSjuyZL2yd9gzLbvyNv2CaerbuLwBLn hiov2DGi1BTfMBaeXatLxBI9gBaerbd9wDYLwzYbItLDharqqtubsr 4rNCHbGeaGqiVu0Je9sqqrpepC0xbbL8F4rqqrFfpeea0xe9Lq=Jc9 vqaqpepm0xbba9pwe9Q8fs0=yqaqpepae9pg0FirpepeKkFr0xfr=x fr=xb9adbaqaaeGaciGaaiaabeqaamaabaabaaGcbaqcfaOaamywam aaBaaajuaibaGaaGymaiaaicdaaKqbagqaaiabg2da9iaaigdacaaI WaGaaiOlaiaaiodacaaI2aGaaGOnaiabgUcaRiaaicdacaGGUaGaaG ymaiaaicdacaaI5aGaamiEamaaBaaajuaibaGaaGymaaqcfayabaGa ey4kaSIaaGOmaiaac6cacaaIZaGaaGOmaiaaiwdacaWG4bWaaSbaaK qbGeaacaaIYaaajuaGbeaaaaa@4D57@ (Eq. 38)

Y 10 =7.19+0.177 x 1 0.004 x 1 2 MathType@MTEF@5@5@+= feaagKart1ev2aaatCvAUfeBSjuyZL2yd9gzLbvyNv2CaerbuLwBLn hiov2DGi1BTfMBaeXatLxBI9gBaerbd9wDYLwzYbItLDharqqtubsr 4rNCHbGeaGqiVu0Je9sqqrpepC0xbbL8F4rqqrFfpeea0xe9Lq=Jc9 vqaqpepm0xbba9pwe9Q8fs0=yqaqpepae9pg0FirpepeKkFr0xfr=x fr=xb9adbaqaaeGaciGaaiaabeqaamaabaabaaGcbaqcfaOaamywam aaBaaajuaibaGaaGymaiaaicdaaKqbagqaaiabg2da9iaaiEdacaGG UaGaaGymaiaaiMdacqGHRaWkcaaIWaGaaiOlaiaaigdacaaI3aGaaG 4naiaadIhadaWgaaqcfasaaiaaigdaaKqbagqaaiabgkHiTiaaicda caGGUaGaaGimaiaaicdacaaI0aGaamiEamaaBaaajuaibaGaaGymaa qcfayabaWaaWbaaeqajuaibaGaaGOmaaaaaaa@4CF7@ (Eq. 39)

As can be observed in Figure 5F,G chroma (Y10) increased with oil (x1) and gum (x2) concentrations for dressings with XG-PE and XG-PGA, whereas for dressings prepared with XG-GA the response was solely dependent on oil content (Figure 5E). For dressings with XG-GG (Figure 5H), the effect of oil on chroma (Y10) was different; it increased up to an oil content of 21.25% and then decreased.

Thus, the effect of the gums was complex and varied for different gums and combinations thereof. The color characteristics of an emulsion are the result of interactions between light waves and the emulsion. Color is generally governed by the unique composition and structure of food emulsions, and can be modified by the presence of droplets or other particulate matter.35,36 As reported previously,35,36 the blueness and greenness of an emulsion system are closely related to the droplet size and the droplet concentration of the emulsion system. Due to the interactions that occur between mixed gums and other ingredients, the conformation that the mixed gums adopt will depend on the particular environmental conditions. This may explain the variation observed in the generated three-dimensional plots and the regression models of color parameters for the dressings prepared with different gums.

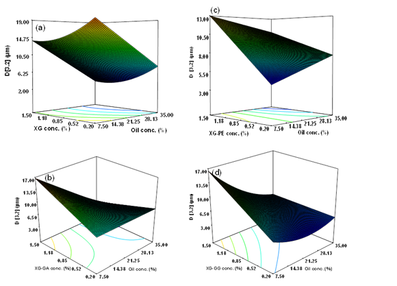
Regression models of particle size parameters: The significant mathematical models (R2 of 0.935, 0.736, 0.816 and 0.941)of D[3, 2] for dressings prepared with XG, XG-GA, XG-PE, as well as XG-GG, are presented in Eq. 40, 41, 42, and 43, respectively.

Y 11 =23.9520.405 x 1 10.893 x 2 +4.214 x 2 2 MathType@MTEF@5@5@+= feaagKart1ev2aaatCvAUfeBSjuyZL2yd9gzLbvyNv2CaerbuLwBLn hiov2DGi1BTfMBaeXatLxBI9gBaerbd9wDYLwzYbItLDharqqtubsr 4rNCHbGeaGqiVu0Je9sqqrpepC0xbbL8F4rqqrFfpeea0xe9Lq=Jc9 vqaqpepm0xbba9pwe9Q8fs0=yqaqpepae9pg0FirpepeKkFr0xfr=x fr=xb9adbaqaaeGaciGaaiaabeqaamaabaabaaGcbaqcfaOaamywam aaBaaajuaibaGaaGymaiaaigdaaKqbagqaaiabg2da9iaaikdacaaI ZaGaaiOlaiaaiMdacaaI1aGaaGOmaiabgkHiTiaaicdacaGGUaGaaG inaiaaicdacaaI1aGaamiEamaaBaaajuaibaGaaGymaaqcfayabaGa eyOeI0IaaGymaiaaicdacaGGUaGaaGioaiaaiMdacaaIZaGaamiEam aaBaaajuaibaGaaGOmaaqcfayabaGaey4kaSIaaGinaiaac6cacaaI YaGaaGymaiaaisdacaWG4bWaaSbaaKqbGeaacaaIYaaajuaGbeaada ahaaqabKqbGeaacaaIYaaaaaaa@565E@ (Eq. 40)

Y 11 =6.856+0.0664 x 1 +9.071 x 2 0.374 x 1 x 2 MathType@MTEF@5@5@+= feaagKart1ev2aaatCvAUfeBSjuyZL2yd9gzLbvyNv2CaerbuLwBLn hiov2DGi1BTfMBaeXatLxBI9gBaerbd9wDYLwzYbItLDharqqtubsr 4rNCHbGeaGqiVu0Je9sqqrpepC0xbbL8F4rqqrFfpeea0xe9Lq=Jc9 vqaqpepm0xbba9pwe9Q8fs0=yqaqpepae9pg0FirpepeKkFr0xfr=x fr=xb9adbaqaaeGaciGaaiaabeqaamaabaabaaGcbaqcfaOaamywam aaBaaajuaibaGaaGymaiaaigdaaKqbagqaaiabg2da9iaaiAdacaGG UaGaaGioaiaaiwdacaaI2aGaey4kaSIaaGimaiaac6cacaaIWaGaaG OnaiaaiAdacaaI0aGaamiEamaaBaaajuaibaGaaGymaaqcfayabaGa ey4kaSIaaGyoaiaac6cacaaIWaGaaG4naiaaigdacaWG4bWaaSbaaK qbGeaacaaIYaaajuaGbeaacqGHsislcaaIWaGaaiOlaiaaiodacaaI 3aGaaGinaiaadIhadaWgaaqcfasaaiaaigdaaKqbagqaaiaadIhada WgaaqcfasaaiaaikdaaKqbagqaaaaa@572C@ (Eq. 41)

Y 11 =10.6590.062 x 1 +3.365 x 2 0.21 x 1 x 2 MathType@MTEF@5@5@+= feaagKart1ev2aaatCvAUfeBSjuyZL2yd9gzLbvyNv2CaerbuLwBLn hiov2DGi1BTfMBaeXatLxBI9gBaerbd9wDYLwzYbItLDharqqtubsr 4rNCHbGeaGqiVu0Je9sqqrpepC0xbbL8F4rqqrFfpeea0xe9Lq=Jc9 vqaqpepm0xbba9pwe9Q8fs0=yqaqpepae9pg0FirpepeKkFr0xfr=x fr=xb9adbaqaaeGaciGaaiaabeqaamaabaabaaGcbaqcfaOaamywam aaBaaajuaibaGaaGymaiaaigdaaKqbagqaaiabg2da9iaaigdacaaI WaGaaiOlaiaaiAdacaaI1aGaaGyoaiabgkHiTiaaicdacaGGUaGaaG imaiaaiAdacaaIYaGaamiEamaaBaaajuaibaGaaGymaaqcfayabaGa ey4kaSIaaG4maiaac6cacaaIZaGaaGOnaiaaiwdacaWG4bWaaSbaaK qbGeaacaaIYaaajuaGbeaacqGHsislcaaIWaGaaiOlaiaaikdacaaI XaGaamiEamaaBaaajuaibaGaaGymaaqcfayabaGaamiEamaaBaaaju aibaGaaGOmaaqcfayabaaaaa@5666@ (Eq. 42)

Y 11 =6.8470.407 x 1 +10.212 x 2 0.287 x 1 x 2 +0.01 x 1 2 MathType@MTEF@5@5@+= feaagKart1ev2aaatCvAUfeBSjuyZL2yd9gzLbvyNv2CaerbuLwBLn hiov2DGi1BTfMBaeXatLxBI9gBaerbd9wDYLwzYbItLDharqqtubsr 4rNCHbGeaGqiVu0Je9sqqrpepC0xbbL8F4rqqrFfpeea0xe9Lq=Jc9 vqaqpepm0xbba9pwe9Q8fs0=yqaqpepae9pg0FirpepeKkFr0xfr=x fr=xb9adbaqaaeGaciGaaiaabeqaamaabaabaaGcbaqcfaOaamywam aaBaaajuaibaGaaGymaiaaigdaaKqbagqaaiabg2da9iaaiAdacaGG UaGaaGioaiaaisdacaaI3aGaeyOeI0IaaGimaiaac6cacaaI0aGaaG imaiaaiEdacaWG4bWaaSbaaKqbGeaacaaIXaaajuaGbeaacqGHRaWk caaIXaGaaGimaiaac6cacaaIYaGaaGymaiaaikdacaWG4bWaaSbaaK qbGeaacaaIYaaajuaGbeaacqGHsislcaaIWaGaaiOlaiaaikdacaaI 4aGaaG4naiaadIhadaWgaaqcfasaaiaaigdaaKqbagqaaiaadIhada WgaaqcfasaaiaaikdaaKqbagqaaiabgUcaRiaaicdacaGGUaGaaGim aiaaigdacaWG4bWaaSbaaKqbGeaacaaIXaaajuaGbeaadaahaaqabK qbGeaacaaIYaaaaaaa@5E8E@ (Eq. 43)

The response surface plots (Figure 6) show that an increase in gum concentration generally led to an increase in the Sauter mean diameter D[3,2] (Y11), especially at lower oil concentrations for XG-GA, XG-PE, and XG-GG (Figure 6B-D). Thus, larger droplets formed in response to increased gum concentrations at lower oil contents. A possible explanation for the observed trends is that the increased viscosity induced by the higher gum concentrations may have reduced the efficiency of the homogenization process and led to the formation of larger oil droplets. An increase in oil occurring at a higher gum content yielded lower values of D[3,2]for XG-GA, XG-PE, and XG-GG (Figure 6B-D), while an increased tendency of droplet size with oil content was observed at lower gum concentrations for dressings prepared with XG-PE (Figure 6C). The dressings prepared with XG showed a slightly increased D[3,2] (Y11) with increasing oil concentration particular at higher gum contents, as shown in Figure 6A.

Figure 7A-E and Eq. (44-48) present the three-dimensional plots and multiple regression equations for the volume-weighted mean diameter D[4,3] (Y12), with R2 of 0.828, 0.745, 0.692, 0.952 and 0.819 for dressings prepared with XG, XG-GA, XG-PGA, XG-PE, and XG-GG, respectively.

Y 12 =205.894.67 x 1 MathType@MTEF@5@5@+= feaagKart1ev2aaatCvAUfeBSjuyZL2yd9gzLbvyNv2CaerbuLwBLn hiov2DGi1BTfMBaeXatLxBI9gBaerbd9wDYLwzYbItLDharqqtubsr 4rNCHbGeaGqiVu0Je9sqqrpepC0xbbL8F4rqqrFfpeea0xe9Lq=Jc9 vqaqpepm0xbba9pwe9Q8fs0=yqaqpepae9pg0FirpepeKkFr0xfr=x fr=xb9adbaqaaeGaciGaaiaabeqaamaabaabaaGcbaqcfaOaamywam aaBaaajuaibaGaaGymaiaaikdaaKqbagqaaiabg2da9iaaikdacaaI WaGaaGynaiaac6cacaaI4aGaaGyoaiabgkHiTiaaisdacaGGUaGaaG OnaiaaiEdacaWG4bWaaSbaaKqbGeaacaaIXaaajuaGbeaaaaa@459B@ (Eq. 44)

Y 12 =38.0140.143 x 1 +90.634 x 2 3.189 x 1 x 2 MathType@MTEF@5@5@+= feaagKart1ev2aaatCvAUfeBSjuyZL2yd9gzLbvyNv2CaerbuLwBLn hiov2DGi1BTfMBaeXatLxBI9gBaerbd9wDYLwzYbItLDharqqtubsr 4rNCHbGeaGqiVu0Je9sqqrpepC0xbbL8F4rqqrFfpeea0xe9Lq=Jc9 vqaqpepm0xbba9pwe9Q8fs0=yqaqpepae9pg0FirpepeKkFr0xfr=x fr=xb9adbaqaaeGaciGaaiaabeqaamaabaabaaGcbaqcfaOaamywam aaBaaajuaibaGaaGymaiaaikdaaKqbagqaaiabg2da9iaaiodacaaI 4aGaaiOlaiaaicdacaaIXaGaaGinaiabgkHiTiaaicdacaGGUaGaaG ymaiaaisdacaaIZaGaamiEamaaBaaajuaibaGaaGymaaqcfayabaGa ey4kaSIaaGyoaiaaicdacaGGUaGaaGOnaiaaiodacaaI0aGaamiEam aaBaaajuaibaGaaGOmaaqcfayabaGaeyOeI0IaaG4maiaac6cacaaI XaGaaGioaiaaiMdacaWG4bWaaSbaaKqbGeaacaaIXaaajuaGbeaaca WG4bWaaSbaaKqbGeaacaaIYaaajuaGbeaaaaa@57ED@ (Eq. 45)

Y 12 =55.9680.755 x 1 35.443 x 2 +24.404 x 2 2 MathType@MTEF@5@5@+= feaagKart1ev2aaatCvAUfeBSjuyZL2yd9gzLbvyNv2CaerbuLwBLn hiov2DGi1BTfMBaeXatLxBI9gBaerbd9wDYLwzYbItLDharqqtubsr 4rNCHbGeaGqiVu0Je9sqqrpepC0xbbL8F4rqqrFfpeea0xe9Lq=Jc9 vqaqpepm0xbba9pwe9Q8fs0=yqaqpepae9pg0FirpepeKkFr0xfr=x fr=xb9adbaqaaeGaciGaaiaabeqaamaabaabaaGcbaqcfaOaamywam aaBaaajuaibaGaaGymaiaaikdaaKqbagqaaiabg2da9iaaiwdacaaI 1aGaaiOlaiaaiMdacaaI2aGaaGioaiabgkHiTiaaicdacaGGUaGaaG 4naiaaiwdacaaI1aGaamiEamaaBaaajuaibaGaaGymaaqcfayabaGa eyOeI0IaaG4maiaaiwdacaGGUaGaaGinaiaaisdacaaIZaGaamiEam aaBaaajuaibaGaaGOmaaqcfayabaGaey4kaSIaaGOmaiaaisdacaGG UaGaaGinaiaaicdacaaI0aGaamiEamaaBaaajuaibaGaaGOmaaqcfa yabaWaaWbaaeqajuaibaGaaGOmaaaaaaa@572E@ (Eq. 46)

Y 12 =41.3620.446 x 1 +75.123 x 2 2.071 x 1 x 2 MathType@MTEF@5@5@+= feaagKart1ev2aaatCvAUfeBSjuyZL2yd9gzLbvyNv2CaerbuLwBLn hiov2DGi1BTfMBaeXatLxBI9gBaerbd9wDYLwzYbItLDharqqtubsr 4rNCHbGeaGqiVu0Je9sqqrpepC0xbbL8F4rqqrFfpeea0xe9Lq=Jc9 vqaqpepm0xbba9pwe9Q8fs0=yqaqpepae9pg0FirpepeKkFr0xfr=x fr=xb9adbaqaaeGaciGaaiaabeqaamaabaabaaGcbaqcfaOaamywam aaBaaajuaibaGaaGymaiaaikdaaKqbagqaaiabg2da9iaaisdacaaI XaGaaiOlaiaaiodacaaI2aGaaGOmaiabgkHiTiaaicdacaGGUaGaaG inaiaaisdacaaI2aGaamiEamaaBaaajuaibaGaaGymaaqcfayabaGa ey4kaSIaaG4naiaaiwdacaGGUaGaaGymaiaaikdacaaIZaGaamiEam aaBaaajuaibaGaaGOmaaqcfayabaGaeyOeI0IaaGOmaiaac6cacaaI WaGaaG4naiaaigdacaWG4bWaaSbaaKqbGeaacaaIXaaajuaGbeaaca WG4bWaaSbaaKqbGeaacaaIYaaajuaGbeaaaaa@57E4@ (Eq. 47)

Y 12 =28.86529.085 x 2 +65.402 x 2 2 MathType@MTEF@5@5@+= feaagKart1ev2aaatCvAUfeBSjuyZL2yd9gzLbvyNv2CaerbuLwBLn hiov2DGi1BTfMBaeXatLxBI9gBaerbd9wDYLwzYbItLDharqqtubsr 4rNCHbGeaGqiVu0Je9sqqrpepC0xbbL8F4rqqrFfpeea0xe9Lq=Jc9 vqaqpepm0xbba9pwe9Q8fs0=yqaqpepae9pg0FirpepeKkFr0xfr=x fr=xb9adbaqaaeGaciGaaiaabeqaamaabaabaaGcbaqcfaOaamywam aaBaaajuaibaGaaGymaiaaikdaaKqbagqaaiabg2da9iaaikdacaaI 4aGaaiOlaiaaiIdacaaI2aGaaGynaiabgkHiTiaaikdacaaI5aGaai OlaiaaicdacaaI4aGaaGynaiaadIhadaWgaaqcfasaaiaaikdaaKqb agqaaiabgUcaRiaaiAdacaaI1aGaaiOlaiaaisdacaaIWaGaaGOmai aadIhadaWgaaqcfasaaiaaikdaaKqbagqaamaaCaaabeqcfauaaiaa ikdaaaaaaa@5025@ (Eq. 48)

In general, an increase in oil concentration led to a decrease in D[4,3](Y12), except in the case of the dressing prepared with XG-GG (Figure 7E), which was dependent only on gum content, as evidenced by the single variable regression found between gum concentration (x2) and the response Y12 (Eq. 48).An increasing trend in D[4,3] (Y12) in response to increased gum content, especially at lower oil concentrations for XG-GA, XG-PGA, XG-PE was also observed in Figure 7.

The regression models generated for specific surface area (Y13) with R2 of 0.991, 0.988, 0.972, 0.988, and 0.839 for dressings prepared with XG, XG-GA, XG-PGA, XG-PE, XG-GG are presented in Eq. 49, 50, 51, 52, 53, respectively.

Y 13 =0.0850.01 x 1 0.058 x 2 +0.0068 x 1 x 2 +0.00044 x 1 2 MathType@MTEF@5@5@+= feaagKart1ev2aaatCvAUfeBSjuyZL2yd9gzLbvyNv2CaerbuLwBLn hiov2DGi1BTfMBaeXatLxBI9gBaerbd9wDYLwzYbItLDharqqtubsr 4rNCHbGeaGqiVu0Je9sqqrpepC0xbbL8F4rqqrFfpeea0xe9Lq=Jc9 vqaqpepm0xbba9pwe9Q8fs0=yqaqpepae9pg0FirpepeKkFr0xfr=x fr=xb9adbaqaaeGaciGaaiaabeqaamaabaabaaGcbaqcfaOaamywam aaBaaajuaibaGaaGymaiaaiodaaKqbagqaaiabg2da9iaaicdacaGG UaGaaGimaiaaiIdacaaI1aGaeyOeI0IaaGimaiaac6cacaaIWaGaaG ymaiaadIhadaWgaaqcfasaaiaaigdaaKqbagqaaiabgkHiTiaaicda caGGUaGaaGimaiaaiwdacaaI4aGaamiEamaaBaaajuaibaGaaGOmaa qcfayabaGaey4kaSIaaGimaiaac6cacaaIWaGaaGimaiaaiAdacaaI 4aGaamiEamaaBaaajuaibaGaaGymaaqcfayabaGaamiEamaaBaaaju aibaGaaGOmaaqcfayabaGaey4kaSIaaGimaiaac6cacaaIWaGaaGim aiaaicdacaaI0aGaaGinaiaadIhadaWgaaqcfasaaiaaigdaaKqbag qaamaaCaaabeqcfasaaiaaikdaaaaaaa@5FF9@ (Eq. 49)

Y 13 =0.070.001 x 1 0.08 x 2 +0.0057 x 1 x 2 +0.0002 x 1 2 MathType@MTEF@5@5@+= feaagKart1ev2aaatCvAUfeBSjuyZL2yd9gzLbvyNv2CaerbuLwBLn hiov2DGi1BTfMBaeXatLxBI9gBaerbd9wDYLwzYbItLDharqqtubsr 4rNCHbGeaGqiVu0Je9sqqrpepC0xbbL8F4rqqrFfpeea0xe9Lq=Jc9 vqaqpepm0xbba9pwe9Q8fs0=yqaqpepae9pg0FirpepeKkFr0xfr=x fr=xb9adbaqaaeGaciGaaiaabeqaamaabaabaaGcbaqcfaOaamywam aaBaaajuaibaGaaGymaiaaiodaaKqbagqaaiabg2da9iaaicdacaGG UaGaaGimaiaaiEdacqGHsislcaaIWaGaaiOlaiaaicdacaaIWaGaaG ymaiaadIhadaWgaaqcfasaaiaaigdaaKqbagqaaiabgkHiTiaaicda caGGUaGaaGimaiaaiIdacaWG4bWaaSbaaKqbGeaacaaIYaaajuaGbe aacqGHRaWkcaaIWaGaaiOlaiaaicdacaaIWaGaaGynaiaaiEdacaWG 4bWaaSbaaKqbGeaacaaIXaaajuaGbeaacaWG4bWaaSbaaKqbGeaaca aIYaaajuaGbeaacqGHRaWkcaaIWaGaaiOlaiaaicdacaaIWaGaaGim aiaaikdacaWG4bWaaSbaaKqbGeaacaaIXaaajuaGbeaadaahaaqabK qbGeaacaaIYaaaaaaa@5E72@ (Eq. 50)

Y 13 =0.03+0.0092 x 1 0.043 x 2 +0.0058 x 1 x 2 MathType@MTEF@5@5@+= feaagKart1ev2aaatCvAUfeBSjuyZL2yd9gzLbvyNv2CaerbuLwBLn hiov2DGi1BTfMBaeXatLxBI9gBaerbd9wDYLwzYbItLDharqqtubsr 4rNCHbGeaGqiVu0Je9sqqrpepC0xbbL8F4rqqrFfpeea0xe9Lq=Jc9 vqaqpepm0xbba9pwe9Q8fs0=yqaqpepae9pg0FirpepeKkFr0xfr=x fr=xb9adbaqaaeGaciGaaiaabeqaamaabaabaaGcbaqcfaOaamywam aaBaaajuaibaGaaGymaiaaiodaaKqbagqaaiabg2da9iabgkHiTiaa icdacaGGUaGaaGimaiaaiodacqGHRaWkcaaIWaGaaiOlaiaaicdaca aIWaGaaGyoaiaaikdacaWG4bWaaSbaaKqbGeaacaaIXaaajuaGbeaa cqGHsislcaaIWaGaaiOlaiaaicdacaaI0aGaaG4maiaadIhadaWgaa qcfasaaiaaikdaaKqbagqaaiabgUcaRiaaicdacaGGUaGaaGimaiaa icdacaaI1aGaaGioaiaadIhadaWgaaqcfasaaiaaigdaaKqbagqaai aadIhadaWgaaqcfasaaiaaikdaaKqbagqaaaaa@57F5@ (Eq. 51)

Y 13 =8.6170.588 x 1 7.585 x 2 +0.687 x 1 x 2 +0.03 x 1 2 MathType@MTEF@5@5@+= feaagKart1ev2aaatCvAUfeBSjuyZL2yd9gzLbvyNv2CaerbuLwBLn hiov2DGi1BTfMBaeXatLxBI9gBaerbd9wDYLwzYbItLDharqqtubsr 4rNCHbGeaGqiVu0Je9sqqrpepC0xbbL8F4rqqrFfpeea0xe9Lq=Jc9 vqaqpepm0xbba9pwe9Q8fs0=yqaqpepae9pg0FirpepeKkFr0xfr=x fr=xb9adbaqaaeGaciGaaiaabeqaamaabaabaaGcbaqcfaOaamywam aaBaaajuaibaGaaGymaiaaiodaaKqbagqaaiabg2da9iaaiIdacaGG UaGaaGOnaiaaigdacaaI3aGaeyOeI0IaaGimaiaac6cacaaI1aGaaG ioaiaaiIdacaWG4bWaaSbaaKqbGeaacaaIXaaajuaGbeaacqGHsisl caaI3aGaaiOlaiaaiwdacaaI4aGaaGynaiaadIhadaWgaaqcfasaai aaikdaaKqbagqaaiabgUcaRiaaicdacaGGUaGaaGOnaiaaiIdacaaI 3aGaamiEamaaBaaajuaibaGaaGymaaqcfayabaGaamiEamaaBaaaju aibaGaaGOmaaqcfayabaGaey4kaSIaaGimaiaac6cacaaIWaGaaG4m aiaadIhadaWgaaqcfasaaiaaigdaaKqbagqaamaaCaaabeqcfasaai aaikdaaaaaaa@5DF6@ (Eq. 52)

Y 13 =0.058+0.013 x 1 MathType@MTEF@5@5@+= feaagKart1ev2aaatCvAUfeBSjuyZL2yd9gzLbvyNv2CaerbuLwBLn hiov2DGi1BTfMBaeXatLxBI9gBaerbd9wDYLwzYbItLDharqqtubsr 4rNCHbGeaGqiVu0Je9sqqrpepC0xbbL8F4rqqrFfpeea0xe9Lq=Jc9 vqaqpepm0xbba9pwe9Q8fs0=yqaqpepae9pg0FirpepeKkFr0xfr=x fr=xb9adbaqaaeGaciGaaiaabeqaamaabaabaaGcbaqcfaOaamywam aaBaaajuaibaGaaGymaiaaiodaaKqbagqaaiabg2da9iabgkHiTiaa icdacaGGUaGaaGimaiaaiwdacaaI4aGaey4kaSIaaGimaiaac6caca aIWaGaaGymaiaaiodacaWG4bWaaSbaaKqbGeaacaaIXaaajuaGbeaa aaa@4666@ (Eq. 53)

The response surface plots (not shown)for all five dressings showed an increase in response (Y13) with increasing oil (x1) concentration, as well as an increased trend in Y13 with gum content (x2) particularly at higher oil concentrations (x1).

Figure 4 Response surface plots of

  1. L* value for dressings prepared with xanthan gum-propylene glycol alginate (XG-PGA).
  2. L* value for dressings prepared with xanthan gum-guar gum (XG-GG).
  3. a* value for dressings prepared with xanthan gum (XG).
  4. a* value for dressings prepared with xanthan gum-gum Arabic (XG-GA).
  5. a* value for dressings prepared with xanthan gum-propylene glycol alginate (XG-PGA).
  6. a* value for dressings prepared with xanthan gum-pectin (XG-PE).
  7. a* value for dressings prepared with xanthan gum-guar gum (XG-GG).

Figure 5 Response surface plots of

  1. b* value for dressings prepared with xanthan gum-pectin (XG-PE).
  2. b* value for dressings prepared with xanthan gum-guar gum (XG-GG).
  3. ΔE value for dressings prepared with xanthan gum-propylene glycol alginate (XG-PGA).
  4. ΔE value for dressings prepared with xanthan gum-guar gum (XG-GG).
  5. chroma for dressings prepared with xanthan gum-gum Arabic (XG-GA).
  6. chroma for dressings prepared with xanthan gum-propylene glycol alginate (XG-PGA).
  7. chroma for dressings prepared with xanthan gum-pectin (XG-PE).
  8. chroma for dressings prepared with xanthan gum-guar gum (XG-GG).

Figure 6 Response surface plots of Sauter diameter D[3,2] for dressings prepared with

  1. Xanthan gum (XG).
  2. Xanthan gum-gum Arabic (XG-GA).
  3. Xanthan gum-pectin (XG-PE).
  4. Xanthan gum-guar gum (XG-GG).

Figure 7 Response surface plots of volume-weighted mean diameter D[4,3] for dressings prepared with

  1. Xanthan gum (XG).
  2. Xanthan gum-gum Arabic (XG-GA).
  3. Xanthan gum-propylene glycol alginate (XG-PGA).
  4. Xanthan gum-pectin (XG-PE).
  5. Xanthan gum-guar gum (XG-GG).

Comparison of different gums and gum combinations

Figure 8 compares the responses obtained at the center point of the experimental design (i.e., 21.25% oil and 0.85% gum). As can be seen in Figure 8A, the dressings prepared with XG and XG-GG exhibited the significantly highest m value (viscous nature), followed by XG-PE, and XG-PGA; the lowest m value was obtained for dressings prepared with XG-GA. The observation of the high viscous properties of XG and XG-GG were in accordance with their high pseudoplasticity, as discussed earlier. A previous study37 on pure solutions of the hydrocolloids also reported that XG and GG showed the highest viscous properties (η΄) in a concentration-dependent manner. The synergistic effect of the two polysaccharides (GG and XG) has been reported extensively in earlier studies. Guar gum can change the helix-coil equilibrium of xanthan gum to a more flexible conformation for efficient binding.19 The highly extensive molecular structure and mechanical inflexibility of PGA, as well as potential entanglement with XG, may explain the relatively high viscosity of dressing emulsions formulated with XG-PGA observed in this study.

The dressing prepared with XG showed the highest (P<0.05) volume-weighted mean diameter (D[4,3]), whereas the XG-PGA combination had the lowest D[4,3]value (Figure 8A). For color, no major differences were observed for dressings prepared with the different gum combinations (Figure 8A) except for dressings prepared with XG-PGA and XG-PE which exhibited significantly higher a* value, indicative of a less greener hue (Figure 8B).

Dressings prepared with XG-GA and XG-PGA gave the highest flow behavior index (n) values (P<0.05), indicating that they had the lowest pseudoplasticity. In contrast, the dressings prepared with XG and XG-GG had the lowest n values (Figure 8B). This observation is in agreement with the findings of Pettitt et al.21 & Ahmed et al.6 who reported that the addition of GA and PGA to fixed levels of XG decreased pseudoplasticity, as evidenced by a significantly increased flow index (n). In terms of firmness (Figure 8B), dressings prepared with XG-GG gave the highest (P<0.05) values, followed by dressings with XG, while dressings formulated with XG-GA and XG-PGA had the lowest values (P<0.05). The dressing prepared with XG-PE had an intermediate value.

Figure 8 The variation of different responses including

  1. consistency coefficient (m value), D[4,3], D[3,2], L* value, b* value, Delta E, Chroma, and
  2. a*value, the flow behavior index (n value), firmness for dressings prepared with different gums based on the combination at the center point of the experimental design (21.25% of oil and 0.85% of gum). The results were the average values of six replications. For each parameter, mean values bearing different letters are significantly different (P<0.05) as per Tukey's multiple comparison test. In the graphic, XG: xanthan gum; XG-GA: xanthan gum-gum Arabic; XG-PGA: xanthan gum-propylene glycol alginate; XG-PE: xanthan gum-pectin; XG-GG: xanthan gum-guar gum.

Optimization and validation tests

A multiple-response optimization was applied within the experimental range of the independent variables studied (x1 and x2). For each response (Y) the mean values for tested commercial dressings were used as “target” as shown in Table 2. An optimum formulation for the composition of lentil supplemented dressing was obtained by superimposing all contour plots with the predicted equations of each response to yield the mean values for each independent variable (x) and the predicted values for each dependent variable (Y). A set of combinations of oil (x1) and gum (x2) concentrations was obtained as presented in Table 2.

Dressings were prepared using the optimized formulations and the responses for these were tested. The adequacy of the response surface models was evaluated by comparing the responses for the predicted values and the experimental values. As can be seen in Table 2, the response values obtained from the validation tests were quite similar to the predicted values for dressing with each gum, except for the experimental values for D[3,2] and D[4,3]which were generally higher than the predicted values. In addition, for dressings prepared with XG-PE, the consistency coefficients (m value) obtained in the validation tests were different from the predicted ones; however, they were very similar to the targeted values. In general, the results showed that the regression models employed to predict the physical properties of the lentil-supplemented salad dressing emulsions were adequate.

Conclusion

The validation test showed the adequacy of the models used in predicting dressing behavior and further demonstrated that stable lentil flour-supplemented salad dressings could be prepared with a variety of gum blends and using different oil concentrations. Perhaps, the most interesting aspect of the study is that the dressings developed had physical properties similar to those of the commercial dressings studied. Overall, the study provides timely and useful information for predicting the textural, rheological, color and particle size characteristics of emulsions that could be used in the development of novel lentil flour-supplemented salad dressings. Studies on sensory evaluation of such products would be of interest for future work. As there are several types of pulses that can be similarly used in salad dressing preparations, the study further provides a model approach that could be translated to determine ideal conditions for the preparation of other pulse-supplemented salad dressings.

Acknowledgements

This study was funded by the Agriculture and Agri-Food Canada Agricultural Bio-product Innovation Program. Financial support from the Chinese Government Scholarship Program is also gratefully acknowledged. We also thank the Canadian International Grains Institute (Winnipeg, MB, Canada) for supplying the lentil flour used for the study.

Conflict of interest

The author declares no conflict of interest.

References

  1. Berrios JJ. Extrusion cooking of legumes: Dry bean flours. Encyclopedia of Agricultural Food and Biological Engineering 2nd ed. 2006;1:1–8.
  2. Petitot M, Boyer L, Minier C, et al. Fortification of pasta with split pea and faba bean flours: Pasta processing and quality evaluation. Food Res Int. 2010;43(2):634–641.
  3. Sosulski FW, Wu KK. High-fiber breads containing field pea hulls, wheat, corn, and wild oat brans. Cereal Chem. 1998;65(3):186–191.
  4. Zare F, Boye JI, Orsat V, et al. Microbial, physical and sensory properties of yogurt supplemented with lentil flour. Food Res Int. 2011;44(8):2482–2488.
  5. Dickinson E, Stainsby G. Advances in food emulsions and foams. Barking, Essex: Elsevier Applied Science Publishers Ltd; 1988.
  6. Ahmed J, Ramaswamy HS, Ngadi MO. Rheological characteristics of Arabic gum in combination with guar and xanthan gum using response surface methodology: effect of temperature and concentration. Int J Food Prop. 2005;8(2):179–192.
  7. Cairns P, Miles MJ, Morris VJ, et al. X-ray fibre-diffraction studies of synergistic, binary polysaccharide gels. Carbohydr Res. 1987;160:411–423.
  8. Williams PA, Phillips GO. Gum arabic. In: GO Phillips, et a. editors. Handbook of Hydrocolloids. (Chapter 11). Boca Raton, UK: CRC press; 2009.
  9. Parker A, Gunning PA, Ng K, et al. How does xanthan stabilise salad dressing? Food hydrocolloids. 1995;9:333–342.
  10. Fennema OW. Food chemistry. New York, USA: Marcel Dekker Inc; 1985.
  11. Akiyama Y, Eda S, Kato K. Gum arabic is a kind of arabinogalactan-protein. Agric Biol Chem. 1984;48(1):235–237.
  12. Pettitt DJ, Wayne JOEB, Nantz JJR, et al. Rheological properties of solutions and emulsions stabilized with xanthan gum and propylene glycol alginate. J Food Sci. 1995;60(3):528–531.
  13. Yilmazer G, Carrillo ANAR, Kokini JL. Effect of propylene glycol alginate and xanthan gum on stability of O/W emulsions. J Food Sci. 1991;56(2):513–517.
  14. Thakur BR, Singh RK, Handa AK, et al. Chemistry and uses of pectin-a review. Crit Rev Food Sci Nutr. 1997;37(1):47–73.
  15. Guimarães GC, Coelho Júnior MC, et al. Density and kinematic viscosity of pectin aqueous solution. J Chem Eng Data. 2008;54(2):662–667.
  16. McCleary BV, Amado R, Waibel R, et al. Effect of galactose content on the solution and interaction properties of guar and carob galactomannans. Carbohydr Res. 1981;92(2):269–285.
  17. Casas JA, Mohedano AF, García-Ochoa F. Viscosity of guar gum and xanthan/guar gum mixture solutions. J Sci Food Agric. 200;80(12):1722–1727.
  18. Tako M, Nakamura S. Synergistic interaction between xanthan and guar gum. Carbohydr Res. 1985;138(2):207–213.
  19. Wang F, Wang YJ, Sun Z. Conformational role of xanthan gum in its interaction with guar gum. J Food Sci. 2002;67(9):3289–3294.
  20. Paraskevopoulou D, Boskou D, Paraskevopoulou A. Oxidative stability of olive oil-lemon juice salad dressings stabilized with polysaccharides. Food Chem. 2007;101(3):1197–1204.
  21. Jamison JD, Towle GA, Vermeychuk JG. Pourable salad dressing composition. US patent No 4129663; 1978.
  22. Ballard BF, Schweid JM, Dec AF. Dry mix for low-oil salad dressing. US patent No 4596715A; 1986.
  23. Worrasinchai S, Suphantharika M, Pinjai S, et al. bet]-Glucan prepared from spent brewer's yeast as a fat replacer in mayonnaise. Food Hydrocolloids. 2006;20(1):68–78.
  24. Myers RH, Montgomery DC, Anderson-Cook CM. Response surface methodology: process and product optimization using designed experiments. New York, USA: John Wiley & Sons Inc; 2009. 704 p.
  25. Raymundo A, Franco JM, Empis J, et al. Optimization of the composition of low-fat oil-in-water emulsions stabilized by white lupin protein. J Am Oil Chem Soc. 2002;79(8):783–790.
  26. Szczesniak AS, Farkas E. Objective characterization of the mouthfeel of gum solutions. J Food Sci. 1962;27:381–s385.
  27. Marcotte M, Taherian Hoshahili AR, Ramaswamy HS. Rheological properties of selected hydrocolloids as a function of concentration and temperature. Food Res Int. 2001;34(8):695–703.
  28. Baines Z, Morris E. Effects of polysaccharide thickeners on organoleptic attributes. In: GO Phillips, et al.editors.Gums and Stabilisers for the Food Industry 4. Oxford, UK: IRL Press; 1988. p.192–201.
  29. Wendin K, Aaby K, Edris A, et al. Low-fat mayonnaise: Influences of fat content, aroma compounds and thickeners. Food hydrocolloids. 1997;11(1):87–99.
  30. Coia KA, Stauffer KR. Shelf life study of oil/water emulsions using various commercial hydrocolloids. J Food Sci. 1987;52(1):166–172.
  31. Azoubel PM, Cipriani DC, El-Aouar ÂA, et al. Effect of concentration on the physical properties of cashew juice. J Food Eng. 2005;66(4):413–417.
  32. Zhang S, Li FX, Yu JY. Rheological properties of cellulose-NaOH complex solutions: From dilute to concentrated states. Cellul Chem Technol. 2011;45(5-6):313–320.
  33. Franco JM, Berjano M, Gallegos C. Linear viscoelasticity of salad dressing emulsions. J Agric Food Chem. 1997;45(3):713–719.
  34. Gallegos C, Berjano M, Choplin L. Linear viscoelastic behavior of commercial and model mayonnaise. J Rheol. 1992;36(3):465–478.
  35. Chantrapornchai W, Clydesdale F, McClements DJ. Influence of droplet size and concentration on the color of oil-in-water emulsions. J Agric Food Chem. 1998;46(8):2914–2920.
  36. McClements DJ. Food emulsions principles, practices, and techniques. 2nd ed. Boca Raton, UK: CRC Press; 2005. 632 p.
  37. Yaseen EI, Herald TJ, Aramouni FM, et al. Rheological properties of selected gum solutions. Food Res Int. 2005;38(2):111–119.
  38. Paraskevopoulou D, Boskou D, Paraskevopoulou A. Oxidative stability of olive oil–lemon juice salad dressings stabilized with polysaccharides. Food Chem. 2007;101(3):1197–1204.
Creative Commons Attribution License

©2016 Zhen, et al. This is an open access article distributed under the terms of the, which permits unrestricted use, distribution, and build upon your work non-commercially.