Submit manuscript...
Journal of
eISSN: 2377-4312

Dairy, Veterinary & Animal Research

Research Article Volume 13 Issue 1

Computation of comfort indices for livestock in central Punjab

Aatralarasi S,1 Dhaliwal LK,2 Kingra PK,2 Puneet Malhotra,3 Gourav Jain2

1United Nations University – Institute of Integrated Management of Material Fluxes and of Resources (UNU FLORES) &Technical University Dresden, Germany
2Department of Climate Change & Agricultural Meteorology, Punjab Agricultural University, India
3Guru Angad Dev Veterinary & Animal Sciences University, India

Correspondence: Dhaliwal LK, Department of Climate Change and Agricultural Meteorology, Punjab Agricultural University, Ludhiana, India

Received: January 11, 2024 | Published: February 15, 2024

Citation: Aatralarasi S, Dhaliwal LK, Kingra PK, et al. Computation of comfort indices for livestock in central Punjab. J Dairy Vet Anim Res. 2024;13(1):20-25 DOI: 10.15406/jdvar.2024.13.00342

Download PDF

Abstract

Climate change imposes detrimental heat stress, which disrupts the thermo-regulatory balance of cattle and buffaloes. Quantifying heat stress through bioclimatic indices is a vital step for identifying suitable mitigation/adaptation strategies. So, the trend of different comfort indices for cattle was computed (2000-2019) and used for estimating milk production as these indices provide a holistic view of the bovine’s thermoneutral status. The trend analysis of seasonal comfort index (CI) through box plot analysis indicated that Black Globe Humidity Index (BGHI) had shifted from ‘Low Impact’ to ‘High Impact’, Temperature Humidity Index (THI) had shifted from ‘Normal’ to ‘Danger’ and Comprehensive Climate Index (CCI) had shifted from ‘No stress’ to ‘Mild stress’ from winter to summer season indicating the impact of heat stress during the latter period. The milk production in April had a significant correlation with BGHI, Heat Load Index (HLI), Respiration Rate (RR), THI, CCI, and Equivalent Temperature Index (ETI). Milk production in May and June had a significant relationship with ETI and THI. Lactation-wise milk production analysis indicated that sixth lactation is related to ETI and HLI. Fourth and second lactation had a significant relation with all indices estimated and the first stage of lactation with BGHI, ETI, and RR. The CI with the highest correlation coefficients were used to develop a regression model for a respective month and lactation stage.

Keywords: comfort indices, black globe humidity index, heat load index, temperature humidity index, equivalent temperature index

Introduction

Punjab has been a pioneer in agrarian economy and a leading contributor to India’s white revolution. The state has highest per capita availability of milk in the country and contributes by 7.3 per cent to country’s milk production. Milk is the main product of livestock sector accounting for nearly 80 per cent of the total value of output of livestock. Livestock production and agriculture are intrinsically linked, both crucial for food security. Emerging trend indicated that demand for livestock’s milk is higher as compared to that of crop production. Livestock is believed to provide a resilient economic environment to farmers as it provides income on daily basis as compared to seasonal income yielding crop production1 is also believed.

Generally, livestock production capacity is largely impacted by the higher air temperature during summer season both in tropical and European regions.2,3 Due to heat stress conditions in India, indigenous buffaloes undergo milk loss of about 20 kg/animal/year, whereas crossbred cows experience about 100 kg/animal/year.4 In addition to high temperature, humidity, air velocity, and insolation act together on animal thermo-regulation and affect animal physiology.5,6 Climate change effects are having a higher influence on exotic breeds than the indigenous ones. This is due to the higher adaptability of indigenous breeds to extreme temperatures. Implementing mitigation and adaptation strategies to changing climatic conditions requires a comprehensive assessment of the effect of environmental factors on animals.

Comfort indices are the product of the combined effect of several atmospheric variables. It is generally developed by taking into view the strong relation connecting the environmental parameters with factors connecting the cattle’s functional state, which act as specific predictors.7,8 The most commonly used livestock indices in tropical regions are Black Globe Humidity Index (BGHI), Heat Load Index (HLI), Respiration Rate (RR), Temperature Humidity Index (THI), Comprehensive Climate Index (CCI), Equivalent Temperature Index (ETI). THI was initially used to indicate human discomfort levels and later accepted to show animal stress levels. There are four THI categories to show the level of heat stress experienced by animals (Livestock Conservation Institute, 1970). Singh et al.9 reported that high THI has a detrimental effect on the milk yield of crossbred cows and buffaloes. They also observed the comparative tolerance of indigenous cattle to heat stress. BGHI is a combined phenomenon of air temperature, humidity, net radiation, and wind movement. Under heat stress conditions, BGHI is a reliable indicator of animal comfort and production. It directly relates to rectal temperature and respiration rate, whereas inversely with milk production and reproduction efficiency. It was reported that BGHI less than 70 doesn’t impact milk production, while after 75, there was a decline in feed consumption.10 Accumulated HLI provide an advanced indication to the cattle thermal status than the local environmental conditions at a particular point in time.11 An animal’s stress condition can be assessed by means of comfort indices. It is an integrated measure of temperature, humidity, wind speed, and solar radiation. Generally, an animal’s thermal comfort is divided into three zones, Thermo Neutral Zone (TNZ) lower critical and upper critical temperatures (LCT/UCT).12 Thermo-neutral condition is when the animal is exposed to a thermal environment where the animals have optimum health and peak yield.13 In conjunction with changing climatic conditions, hot weather impacts are particularly important for livestock. Garner et al.14 reported that heat-wave condition with THI of about 74-84 declined the milk production by 53 per cent. Additionally, thermo neutral conditions (THI 55-61) for seven days were required by the animals to return to their previous state. The state of Punjab has two extreme climatic conditions viz. summer season (May-October) and winter (November-April). Understanding the trend of different comfort indices in this period will help in studying the stress levels estimated by each index.

In addition to stress determination, comfort indices can also serve as an appropriate indicator for estimating the milk production.15 Comfort Indices based milk production models will be superior to the conventional weather parameters-based milk production model as the former has comprehensive inclusion of all environmental parameters.16,17 Hence, incorporation of future weather conditions in the developed mathematical models will help us in assessing the livestock’s physiological status and devising appropriate early warning system forecasts to farmers. Considering the importance stated above, the present study was proposed with following objectives:

  1. Investigating the seasonal trend of comfort indices (THI, RR, BGHI, HLI, CCI, ETI) for the Ludhiana district in central Punjab (2000-2019).
  2. Analysing the trend of summer month milk production from 2017-2019.
  3. Development of Comfort Indices based models for estimating Livestock milk production in the study region.
  4. It is a crucial study to be conducted in view of climate change and such studies haven’t been previously conducted in Punjab conditions.

Material and methods

Data: Meteorological data were collected from the Agrometeorological Observatory, Department of Climate Change and Agricultural Meteorology, Punjab Agricultural University, Ludhiana. Milk production records of 44 Murrah breed buffalos from the farm unit of Guru Angad Dev University of Veterinary and Animal Sciences, Ludhiana for the period from 2017 to 2019 were collected. The animals were raised in open sheds under loose housing system with open access to water as per their need. The animals were fed Total Mixed Ration (TMR) comprising green fodder/silage, dry roughage and concentrate as per their physiological status and daily milk production of that group. TMR was offered twice a day to all animals depending on their daily dry matter requirements. The required vitamins, minerals and sodium bicarbonate and other supplements to reduce heat stress were added in concentrate only.

Methodology

Investigating the seasonal trend of comfort indices (THI, RR, BGHI, HLI, CCI, ETI) for the study period (2000-2019): In present study the comfort indices BGHI, HLI, THI, CCI, RR, ETI were calculated for cattle. By referring the equations in Table 1, CI were calculated for all the months from 2000-2019. Further, summer (May-October) and winter (November-April) season mean (Eqn. 1) and standard error (Eqn. 2) were calculated in MS Excel. Further, the distribution of comfort indices were plotted by using boxplot in R statistical software. The seasonal trend were delineated with the respective comfort index’s threshold value (Tables 2–4).

Mean= ΣXi N MathType@MTEF@5@5@+= feaagKart1ev2aqatCvAUfeBSjuyZL2yd9gzLbvyNv2CaerbuLwBLn hiov2DGi1BTfMBaeXatLxBI9gBaerbd9wDYLwzYbItLDharqqtubsr 4rNCHbGeaGqiVu0Je9sqqrpepC0xbbL8F4rqqrFfpeea0xe9Lq=Jc9 vqaqpepm0xbba9pwe9Q8fs0=yqaqpepae9pg0FirpepeKkFr0xfr=x fr=xb9adbaqaaeGaciGaaiaabeqaamaabaabaaGcbaqcLbsaqaaaaa aaaaWdbiaad2eacaWGLbGaamyyaiaad6gacqGH9aqpjuaGdaWcaaGc paqaaKqzGeWdbiabfo6atjaadIfacaWGPbaak8aabaqcLbsapeGaam Otaaaaaaa@4171@   (1)

Where Xi – CI at point i, N – number of data points

Standard Error = 1 N Σ (Xi X ¯ ) 2 N MathType@MTEF@5@5@+= feaagKart1ev2aaatCvAUfeBSjuyZL2yd9gzLbvyNv2CaerbuLwBLn hiov2DGi1BTfMBaeXatLxBI9gBaerbd9wDYLwzYbItLDharqqtubsr 4rNCHbGeaGqiVu0Je9sqqrpepC0xbbL8F4rqqrFfpeea0xe9Lq=Jc9 vqaqpepm0xbba9pwe9Q8fs0=yqaqpepae9pg0FirpepeKkFr0xfr=x fr=xb9adbaqaaeGaciGaaiaabeqaamaabaabaaGcbaqcLbsaqaaaaa aaaaWdbiaabofacaqG0bGaaeyyaiaab6gacaqGKbGaaeyyaiaabkha caqGKbGaaeiiaiaabweacaqGYbGaaeOCaiaab+gacaqGYbGaaeiiai abg2da9Kqbaoaalaaak8aabaqcLbsapeGaaGymaaGcpaqaaKqzGeWd biabgQHiwlaad6eaaaqcfa4aaOaaaOWdaeaajuaGpeWaaSaaaOWdae aajugib8qacqqHJoWucaGGOaGaamiwaiaadMgacqGHsislceWGybWd ayaaraWdbiaacMcajuaGpaWaaWbaaSqabeaajugWa8qacaaIYaaaaa GcpaqaaKqzGeWdbiaad6eaaaaaleqaaaaa@572D@   (2)

Where X ¯ ¯ MathType@MTEF@5@5@+= feaagKart1ev2aqatCvAUfeBSjuyZL2yd9gzLbvyNv2CaerbuLwBLn hiov2DGi1BTfMBaeXatLxBI9gBaerbd9wDYLwzYbItLDharqqtubsr 4rNCHbGeaGqiVu0Je9sqqrpepC0xbbL8F4rqqrFfpeea0xe9Lq=Jc9 vqaqpepm0xbba9pwe9Q8fs0=yqaqpepae9pg0FirpepeKkFr0xfr=x fr=xb9adbaqaaeGaciGaaiaabeqaamaabaabaaGcbaqcfa4aa0aaaO qaaKqzGeaeaaaaaaaaa8qaceWGybWdayaaraaaaaaa@3853@ is the mean of all the data.

Index

Formula

THI (Mader et al. 2006)16

THI = (0.8 × Tdb) + [(RH/100) × (Tdb − 14.4)] + 46.4

 

THIadj = 4.51+ THI− (1.922×V) + (0.0068×SR)

RR (Eigenberg et al. 2005)18

RR = 5.1×Ta+0.58×RH-1.7×V+0.039×SR-105.7

ETI (Baeta et al. 1987)

ETI= 27.88 − 0.456×Ta + 0.010754×Ta2−0.4905×RH+ 0.00088×RH2 +1.1507×V−0.126447×V2+ 0.019876×Ta*RH−0.046313×Ta×V

HLI (Gaughan et al. 2003)11

For Tbg < 25°C, HLI = 10.66 +0.28 × RH +1.3 × Tbg−V

 

For Tbg > 25°C, HLI = 8.62+0.38 × RH+1.55 × Tbg-0.5× V+e2.4-V

BGHI (Buffington et al.1981)10

Predicted BGT = 1.33 × Tdb-2.65 × Tdb0.5+ 3.21 × Log10 (SR+1) + 3.5

 

BGHI = Tbg+0.36 × Tdp+41.5

CCI (Mader et al. 2010)19

CCI = AT+FRH+FWS+FSR

Table 1 Formula for calculating cattle comfort indices
Tdb, Dry bulb temperature (°C); RH, Relative Humidity (%); V, Air Velocity (m/s); SR, Intensity of Solar Radiation (W/m2); Ta, Air temperature (°C); Tbg, Black globe temperature (°C); Tdp, Dew point temperature (°C); FRH, FWS and FSR, Correction factor for air temperature due to relative humidity, wind speed and solar radiation

 

Animal Susceptibility

Environmental Condition

Hot Condition

Cold Conditions

 

 

High

Low

No stress

<25

>5

>0

Mild

25 to 30

0 to 5

-10 to 0

Moderate

>30 to 35

<0 to -5

-10 to -20

Severe

>35 to 40

<-5 to -10

-20 to -30

Extreme

>40 to 45

-10 to -15

-30 to -40

Extreme danger

>45

-15

-40

Table 2 Threshold values for comprehensive climate index (CCI) based classification

THI Values

Conditions

THI ≤ 74

Normal

74< THI < 78

Alert

78 ≤ THI ≤ 84

Danger

84 < THI

Emergency

Table 3 Threshold values for temperature humidity index (THI) based classification

BGHI

Conditions

< 70

No impact on milk production

> 75

Decline in feed consumption

Table 4 Threshold values for Black Globe Humidity Index (BGHI) based classification

Analysing the trend of summer month milk production from 2017-2019

The distribution of milk production data for the months of April, May and June were analyzed through boxplot. The plots help in understanding the distribution trend, central value, and variability of the monthly data.

Development of Comfort Indices based models for estimating Livestock milk production in the study region: Correlation analysis were done (Equation 3) between the Month-wise and lactation-wise milk production and the respective comfort indices to identify the CI with significant relation (p<0.05) for model development. Following this, Comfort indexes having significant relation with the considered month and lactation period were further used to develop regression equations (Equation 4) using ‘Data Analysis’ Tool in MS Excel.

r= Σ( Xi X ¯ )( Yi Y ¯ ) Σ (Xi X ¯ ) 2 Σ (Yi Y ¯ ) 2 MathType@MTEF@5@5@+= feaagKart1ev2aqatCvAUfeBSjuyZL2yd9gzLbvyNv2CaerbuLwBLn hiov2DGi1BTfMBaeXatLxBI9gBaerbd9wDYLwzYbItLDharqqtubsr 4rNCHbGeaGqiVu0Je9sqqrpepC0xbbL8F4rqqrFfpeea0xe9Lq=Jc9 vqaqpepm0xbba9pwe9Q8fs0=yqaqpepae9pg0FirpepeKkFr0xfr=x fr=xb9adbaqaaeGaciGaaiaabeqaamaabaabaaGcbaqcLbsacaWGYb Gaeyypa0tcfaieaaaaaaaaa8qadaWcaaGcpaqaaKqzGeWdbiabfo6a tLqbaoaabmaak8aabaqcLbsapeGaamiwaiaadMgacqGHsislceWGyb Wdayaaraaak8qacaGLOaGaayzkaaqcfa4aaeWaaOWdaeaajugib8qa caWGzbGaamyAaiabgkHiTiqadMfapaGbaebaaOWdbiaawIcacaGLPa aaa8aabaqcfa4dbmaakaaak8aabaqcLbsapeGaeu4OdmLaaiikaiaa dIfacaWGPbGaeyOeI0Iabmiwa8aagaqea8qacaGGPaqcfa4damaaCa aaleqabaqcLbmapeGaaGOmaaaajugibiabfo6atjaacIcacaWGzbGa amyAaiabgkHiTiqadMfapaGbaebapeGaaiykaKqba+aadaahaaWcbe qaaKqzadWdbiaaikdaaaaaleqaaaaaaaa@5DB4@   (3)

Where, r = Pearson Correlation Coefficient, Xi = monthly CI values, Yi = monthly milk production, X ¯ MathType@MTEF@5@5@+= feaagKart1ev2aqatCvAUfeBSjuyZL2yd9gzLbvyNv2CaerbuLwBLn hiov2DGi1BTfMBaeXatLxBI9gBaerbd9wDYLwzYbItLDharqqtubsr 4rNCHbGeaGqiVu0Je9sqqrpepC0xbbL8F4rqqrFfpeea0xe9Lq=Jc9 vqaqpepm0xbba9pwe9Q8fs0=yqaqpepae9pg0FirpepeKkFr0xfr=x fr=xb9adbaqaaeGaciGaaiaabeqaamaabaabaaGcbaqcLbsaqaaaaa aaaaWdbiqadIfapaGbaebaaaa@37AA@ = monthly mean of CI, Y ¯ MathType@MTEF@5@5@+= feaagKart1ev2aqatCvAUfeBSjuyZL2yd9gzLbvyNv2CaerbuLwBLn hiov2DGi1BTfMBaeXatLxBI9gBaerbd9wDYLwzYbItLDharqqtubsr 4rNCHbGeaGqiVu0Je9sqqrpepC0xbbL8F4rqqrFfpeea0xe9Lq=Jc9 vqaqpepm0xbba9pwe9Q8fs0=yqaqpepae9pg0FirpepeKkFr0xfr=x fr=xb9adbaqaaeGaciGaaiaabeqaamaabaabaaGcbaqcLbsaqaaaaa aaaaWdbiqadMfapaGbaebaaaa@37AB@ = monthly mean of milk production.

Y = βX+α MathType@MTEF@5@5@+= feaagKart1ev2aaatCvAUfeBSjuyZL2yd9gzLbvyNv2CaerbuLwBLn hiov2DGi1BTfMBaeXatLxBI9gBaerbd9wDYLwzYbItLDharqqtubsr 4rNCHbGeaGqiVu0Je9sqqrpepC0xbbL8F4rqqrFfpeea0xe9Lq=Jc9 vqaqpepm0xbba9pwe9Q8fs0=yqaqpepae9pg0FirpepeKkFr0xfr=x fr=xb9adbaqaaeGaciGaaiaabeqaamaabaabaaGcbaqcLbsaqaaaaa aaaaWdbiaadMfacaqGGaGaeyypa0Jaaeiiaiabek7aIjaadIfacqGH RaWkcqaHXoqyaaa@3ECE@   (4)

Where Y is the Milk Production, β is slope, X is the respective CI, α is the intercept

Results and discussion

Summer season

The summer season in Ludhiana for this study was taken from the month of March to October. The normal trend of high air temperature during this season increases cattle’s heat load exceeding its heat dissipation capacity. Physiological parameters like internal temperature and respiratory rate are the direct indicators of heat stress impact on animal’s performance.20

The combined effect of weather parameters on cattle physiological conditions is demonstrated by the trend of comfort indices in summer season. BGHI has average value of 92.3 for the period 2000 to 2019 with the highest value of 93.5 during 2012 and the lowest value of 91.0 during 2010. Similarly, average CCI was 28.9 with maximum value of 30.1 in 2016 and minimum value of 28.1 in 2008. ETI has mean value of 33.3with the highest value of 34.1 in 2012 and the lowest value of 32.5 in 2018. Further, HLI has mean value of 102.6 with maximum value of 104.1 in 2011 and minimum value of 101.3 in 2013. RR has average value of 86.1with maximum value of 88.4 in 2011 and 83.8 in 2018. THI has mean value of 82.7 with the highest value of 83.8 in 2014 and the lowest of 82.0 in 2004 (Table 5).

Index (Summer)

Mean ± SE

Maximum

Year

Minimum

Year

BGHI

92.3±0.13

93.5

2012

91

2010

CCI

28.9±0.1

30.1

2016

28.1

2008

ETI

33.3±0.1

34.1

2012

32.5

2018

HLI

102.6±0.2

104.1

2011

101.3

2013

RR

86.1±1.4

88.4

2011

83.8

2018

THI

82.7±0.1

83.8

2014

82

2004

Table 5 Average value of comfort indices during summer season (2000-2019)
THI, temperature humidity index; RR, Respiration Rate; ETI, Equivalent Temperature Index; BGHI, Black Globe Humidity Index; HLI, Heat Load Index; CCI, Comprehensive Climate Index

The THI above 72 didn’t significantly affect the low yielding cows whereas high yielding cows showed significant decrease in milk yield when THI was greater than 80 (severe stress) from June to October.21 They also reported irreversible milk yield decrease of 30-40 per cent for change in THI from comfort zone to stress zone.

Further, THI and ETI are found to be normally distributed, whereas BGHI, HLI and CCI are skewed to the left indicating its negative distribution. As per the classification for livestock the THI during summer season is in ‘danger’ zone. RR was skewed to the right with positive distribution, which indicates higher proportion of study years with larger respiration rate. This might be due to increased dissipation of the accumulated heat load by the cattle in the summer season. Gaughan et al.11 reported that excessive heat load in cattle was a combined effect of the regional climatic conditions and animal features which extended above the livestock’s normal physical range and its capacity to cope up. Among the monthly averages, August month recorded the highest summer season value for THI (85.88), HLI (108.26), and CCI (30.96). For RR, and ETI, July month witnessed the highest summer season value being 96.7 and 37.37, respectively. The month of June recorded the highest value for BGHI with 96.05. Kulkarni et al. (2017) also reported that India experiences ‘semi moderate’ and ‘severe stress’ conditions during pre-monsoon season. While it has combination of ‘no stress’ and ‘mild stress’ conditions during post monsoon season.

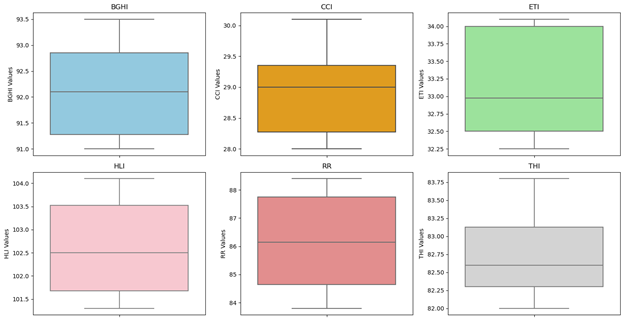
The combined analysis of THI and RR demarcates Ludhiana under ‘Danger’ zone for the period from May to September and ‘Alert’ zone in October as defined by Eigenberg et al.18 Nearly eighty-five per cent areas in India is exposed to moderate to high stress during April, May and June because of high THI values (75 to 85). The severity of stress rises in 25% area during May and June (Figure 1).9

Figure 1 Boxplot of comfort indices during summer season at Ludhiana.

Winter season

In this study the winter season in central Punjab was considered from the month of November and remains till April. Cold stress is associated with microclimatic conditions in the barn like temperature, relative humidity and air velocity. Occurrence of adverse cold stress on birth reduces the overall cattle’s performance and its survival chances.

BGHI has winter season value of 74.6±0.2 with maximum value of 75.9 in 2003 and minimum value of 73.6 in 2009. CCI has value of 13.8 with maximum of 15.1 in 2016 and 12.7 in 2014. ETI mean value during winter season was observed to be around 17.5 with maximum of 18.5 in 2016 and 16.8 in 2014. HLI average winter season value of 75.7 with the highest value of 81.3 in 2008 and lowest value of 70.2 in 2007. RR mean value was 26.8 with maximum value of 31.2 in 2003 and 21.4 in 2011. THI has winter season value of 65.8 with maximum value of 67.0 in 2013 and 64.5 in 2009 as shown in Table 6. Young22 reported that cold stress can lead to conversion of significant dietary energy to body heat generation, failure of which leads to death of the animal. Toghiani et al.,23 showed severe cold stress (CCI<-25) decreased the birth weight by 100 grams. They also observed severe decrease in weaning weight when the cattle were exposed to mild (CCI<5), moderate (CCI <-15), and severe cold stress.

Index (Winter)

Year

Maximum value of CI

Year

Minimum value of CI

Mean±SE

BGHI

2003

75.9

2009

73.6

74.6±0.2

CCI

2016

15.1

2014

12.7

13.8±0.2

ETI

2016

18.5

2014

16.8

17.5±0.1

HLI

2008

81.3

2007

70.2

75.7±0.7

RR

2003

31.2

2011

21.4

26.8±2.5

THI

2013

67

2009

64.5

65.8±0.2

Table 6 Average value of Comfort Indices during winter season (2000-2019)
THI, Temperature Humidity Index; RR, Respiration Rate; ETI, Equivalent Temperature Index; BGHI, Black Globe Humidity Index; HLI, Heat Load Index; CCI, Comprehensive Climate Index

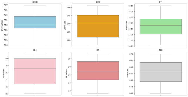
From these values, it is observed that BGHT, RR, and ETI are skewed to the left (negatively distributed), while THI and CCI are normally distributed. The distribution of HLI is observed to be rightly skewed indicating more years with above-average values. Among the monthly averages, January month recorded the lowest value of all the indices (Figure 2).

Figure 2 Boxplot of Comfort indices during winter season at Ludhiana.

Harsh winters in the northern plains of United States leads to severe cold stress increasing mortality rate of newborn cattle.19 During winter season of 2000-2001 in the United States, increased cold stress levels leads to reduction in feed efficiency and average daily gain of feedlot cattle by 5 and 10 per cent respectively.24

Trend of milk production in summer season

Extreme summer season is experienced at Ludhiana representing Central Punjab in the month of April, May and June with maximum and minimum temperatures of 34.1°C and 22°C respectively. Average monthly milk production (2017-2019) trend during this period in Central Punjab is plotted and presented in Figure 3. The average milk production in the month of April, May and June was 4.25, 4.15, and 4.18 Litres /day respectively. The distribution is positively skewed, which means a higher proportion of years have milk production less than the mean value. This may be due to the high heat stress experienced by the cattle in these months. Pawar25 examined the effect of seasonality on total lactation milk yield (TLMY) and found that TLMY was significantly influenced by the seasonality. The highest milk yield was recorded in cattle calved in winter, followed by rainy and summer season. Murrah buffalo milk yield was reduced by 9 per cent during hot and humid season, whereas during winter it was increased by 10.6 per cent.26

Figure 3 Milk production in summer months in Ludhiana district (Punjab).

Development of comfort indices based models for estimating livestock milk production

Relation between Monthly milk production and respective comfort indices: The estimation of future milk production trends requires knowledge on amount of heat stress experienced by cattle. Modeling the milk production with comfort indices requires an index with the highest correlation coefficient value. For the month of April, all the indices (CCI, BGHT, ETI, HLI, RR, and THI) were correlated with milk production. Among them, HLI had the highest correlation coefficient (r = - 0.792, Table 7). Milk Production in the month of May and June was correlated with ETI (r = -0.430) and THI (r = -0.251) respectively. Mylostyvyi and Chernenko27 also reported THI was a vital indicator of cattle’s physiology due to its influence on microclimate.

Comfort Index

April

May

June

CCI

-0.620**

-0.259

-0.189

BGHT

-0.717**

-0.317

-0.094

ETI

-0.503**

-0.430*

-0.202

HLI

0.792**

-0.243

-0.223

RR

-0.666**

-0.345

-0.153

THI

-0.595**

-0.314

-0.251

Table 7 Correlation coefficients between monthly milk production and comfort index
** - Significant at 1% level; * - Significant at 5% level;

Relation between lactation-wise milk production and respective comfort indices

The milk production data was taken from cattle in different lactation phases (1st Lactation to 6th Lactation). Modeling the amount of heat stress in each of lactation phase gives a precise insight of the lactation stages most affected and the management strategies accordingly. Fourth and second lactation had a significant correlation with all the indices, but the highest r value was observed for CCI and HLI. Sixth lactation had significant correlation with ETI and THI, while the highest r value was observed for ETI. Further, milk production in cattle’s first stage of lactation had a significant correlation with BGHT, ETI, and RR. The highest r value for this stage was observed with ETI (Table 8). Weather influenced nearly 9 per cent of milk yield variability, 13 per cent of milk fat and 65 per cent of rectal temperature in all the stages of lactation.28

Likewise, lactation 6 and 2 had significant correlation with THI (Table 8). ETI and RR were found suitable for fourth and second lactation phases.

CI / LN

6

5

4

3

2

1

CCI

-0.34

-0.135

-0.53**

-0.082

-0.518**

-0.288

BGHT

-0.29

-0.288

-0.541**

-0.025

-0.527**

-0.393*

ETI

-0.372*

0.037

-0.622**

-0.181

-0.564**

-0.358*

HLI

-0.344

0.141

-0.553**

-0.123

-0.414*

-0.235

RR

-0.316

-0.174

-0.616**

-0.089

-0.577**

-0.422*

THI

-0.381*

0.005

-0.582**

-0.178

-0.585**

-0.32

Table 8 Correlation coefficients between lactation length and comfort index (CI)
** - Significant at 1% level; * - Significant at 5% level; LN, Lactation Number

CI based milk production model development

Regression models were developed with indices which has significant relationship with milk production. For the month of April, the highest coefficient of determination (R2=0.513) for BGHI was observed. During the month of May and June, ETI and THI had significant relationship as shown in the Table 9. In addition to this, regression models were also developed for sixth, fourth, second, and first lactation with their respective indices (Table 10).

Month

CI

Model

April

CCI

Milk Production = -0.071× CCI + 6.056

0.384

BGHT

Milk Production = -0.059 × BGHT + 9.548

0.513

ETI

Milk Production = -0.111× ETI + 7.348

0.253

HLI

Milk Production = -0.030×HLI + 7.129

0.086

RR

Milk Production = -0.022×RR + 5.748

0.443

THI

Milk Production = -0.079×THI + 10.40

0.354

May

ETI

Milk Production = -0.040×ETI + 5.340

0.184

June

THI

Milk Production = -0.018×THI + 5.730

0.062

Table 9 Month-wise regression models for estimating milk production in Ludhiana from respective comfort index (CI)

LN

CI

Model

6

THI

Milk Production = -0.070×THI + 9.559

0.145

4

ETI

Milk Production = -0.214×ETI + 10.65

0.387

2

THI

Milk Production = -0.090×THI + 11.76

0.342

1

RR

Milk Production = -0.007×RR + 4.587

0.178

Table 10 Lactation-wise regression models for estimating milk production in Ludhiana from comfort index (CI)

The results indicated that with 1°C rise in temperature, average monthly milk production decreased by -1.07 per cent, -1.06 per cent, and -0.6 per cent in the months of April, May, and June respectively. Similarly decrease in monthly milk production of -3.49 per cent, -2.26 per cent, and -0.79 per cent is estimated for one degree rise in temperature for fourth, second and first lactation phases (Table 11).29

Month / LN

Change in Comfort Indices per unit change in Temperature (%)

Change in milk production (%)

April

BGHI (1.41)

-1.07

May

ETI (9.81)

-1.06

June

THI (2.43)

-0.6

Lac. No: 6

THI (2.43)

3.1

Lac. No: 4

ETI (9.81)

-3.49

Lac. No: 2

THI (2.43)

-2.26

Lac. No: 1

RR (50.9)

-0.79

Table 11 Effect of one degree increase in temperature (+1°C) on milk production

Conclusion

Analyzing the trend of different comfort indices, it was observed that over the years the cattle are prone to ‘mild to severe stress’ as seasonal change from winter to summer season. This severe induction has already impacted bovine’s milk production capacity. Highly correlated indices were used to develop regression equations for estimating future milk production with respective CI value. The developed equations shown that 1ºC rise in temperature, reduced the milk production by at least 0.5 per cent as compared to the current production level. These regression equations can be further used in modeling and adaptation studies. The study concludes that changing climatic conditions might enhance stress level for the animal, hence designing climate adaptation and mitigation strategies based on the studied comfort indices needs to be adopted to sustain livestock productivity in future.

Acknowledgments

None.

Conflicts of interest

Author declares there are no conflicts of interests.

Funding

None.

References

  1. Dhawan V, Kashish J. Transforming livestock economy in India with special reference to Punjab: A review. Econ Aff. 2016;61(2):259–265.
  2. Dash S, Chakravarty AK, Singh A, et al. Effect of heat stress on reproductive performances of dairy cattle and buffaloes: A review. Vet World. 2016;9(3):235–244.
  3. Sejian V, Bhatta R, Gaughan JB, et al. Review: Adaptation of animals to heat stress. Animal. 2018;12(2):S431–S444.
  4. Aggarwal A, Upadhyay R. Heat stress and milk production. In heat stress and animal productivity. India: Springer; 2013:53–77.
  5. Abdela N, Jilo K. Impact of climate change on livestock health: A review. Glob Vet. 2016;16(5):419–424.
  6. Laporta J, Fabris TF, Skibiel AL, et al. In utero exposure to heat stress during late gestation has prolonged effects on the activity patterns and growth of dairy calves. J Dairy Sci. 2017;100(4):2976–2984.
  7. Daltro D, Dos S, Fischer V, et al. Infrared thermography as a method for evaluating the heat tolerance in dairy cows. Revista Brasileira de Zootecnia. 2017;46(5):374–383.
  8. Kim WS, Lee JS, Jeon SW, et al. Correlation between blood, physiological and behavioral parameters in beef calves under heat stress. Asian australas J of Anim Sci. 2018;31(6):919–925.
  9. Singh AK, Yadav DK, Bhatt N, et al. Housing management for dairy animals under Indian tropical type of climatic conditions - A review. Vet Res Intl. 2020;8(2):94–99.
  10. Buffington DE, Canton GH, Pitt D. Black globe humidity index (BGHI) as comfort equation for dairy cows. Transactions of the ASAE. 1981;24(3):711–714.
  11. Gaughan JG, Goopy J, Spark J. Excessive heat load index for feedlot cattle. Sydney: MLA; 2001.
  12. DeShazer JA, Hahn GL, Xin H. Basic principles of the thermal environment and livestock energetics. In: DeShazer JA, editor. Livestock energetics and thermal environmental management. 2009:1–22.
  13. Ames D. Thermal environment affects production efficiency of livestock. Biosci.1980;30(7):457–460.
  14. Garner JB, Douglas M, Williams SRO, et al. Responses of dairy cows to short-term heat stress in controlled-climate chambers. Anim Prod Sci. 2017;57(7):1233–1241.
  15. Herbut P, Angrecka S, Walczak J. Environmental parameters to assessing of heat stress in dairy cattle—a review. Int J of Biometeorol. 2018;62(12):2089–2097.
  16. Mader TL, Davis MS, Brown Brandl T. Environmental factors influencing heat stress in feedlot cattle. J Anim Sci. 2006:84(3):712–719.
  17. Wang X, Gao H, Gebremedhin KG, et al. A predictive model of equivalent temperature index for dairy cattle (ETIC). J Therm Biol. 2018;76:165–170.
  18. Eigenberg RA, Brown-Brandl TM, Nienaber JA, et al. Dynamic response indicators of heat stress in shaded and non-shaded feedlot cattle, part 2: Predictive relationships. Biosyst Eng. 2005;91(1):111–118.
  19. Mader T. Environmental stress in confined beef cattle. J Anim Sci. 2003:81(14_suppl_2):E110–E119.
  20. Ludovico A, Vinicius BM, Dalton B, et al. Losses in milk production and quality due to milk stomatic cell count and heat stress of Holstein cows in temperature climate. Semina: Ciencias Agrarias. 2015:36(5):3455–3470.
  21. Kohli S, Atheya UK, Thapliyal A. Assessment of optimum thermal humidity index for crossbred dairy cows in Dehradun district, Uttarakhand, India. Vet World. 2014;7:916–922.
  22. Young BA. Ruminant cold stress: Effect on production. J Anim Sci. 1983:57(6):1601–1607.
  23. Toghiani S, Hay EH, Roberts A, et al. Impact of cold stress on birth and weaning weight in a composite beef cattle breed. Livest Sci. 2020;236:104053.
  24. Hoelscher M. Adverse winter conditions increase cost of production. Feedstuffs. 2001;73(16):5–12.
  25. Pawar H. Effect of year, season and parity on milk production traits in Murrah buffaloes. J Buffalo Sci. 2012;1:122–125.
  26. Yadav SP, Sikka P, Kumar D, et al. Variation in milk constituents during different parity and seasons in Murrah buffaloes. Indian J Anim Sci. 2013;83(7):747–751.
  27. Mylostyvyi R, Chernenko O. Correlations between environmental factors and milk production of holstein cows. Data. 2019:4(3):4–11.
  28. Maust LE, Mcdowell RE, Hooven NW. Effect of summer weather on performance of holstein cows in three stages of lactation. J Dairy Sci. 1972:55(8):1133–1139.
  29. Kulkarni N, Dhangar N, Khedikar S, et al. Impact of heat stress on animal health using temperature humidity index over India. Vayu Mandal. 2017;43(1):49–55.
Creative Commons Attribution License

©2024 Aatralarasi, et al. This is an open access article distributed under the terms of the, which permits unrestricted use, distribution, and build upon your work non-commercially.