Submit manuscript...
International Journal of
eISSN: 2574-8084

Radiology & Radiation Therapy

Research Article Volume 10 Issue 2

Stereotactic ablative radiotherapy for stage I lung cancer: a retrospective single institution report in Western Australia

Caris Chong, Hendrick Tan, Cherie Vaz, Susan Mincham, Eugene Leong, Max Hoffman, Tee Lim

Department of Radiation Oncology, Genesis Care, Fiona Stanley Hospital Western Australia

Correspondence: Dr Caris Chong, Department of Radiation Oncology, Genesis Care, Fiona Stanley Hospital Western Australia, Tel 6152 2222

Received: April 17, 2023 | Published: May 2, 2023

Citation: Chong C, Tan H, Vaz C, et al. Stereotactic ablative radiotherapy for stage I lung cancer: a retrospective single institution report in Western Australia. Int J Radiol Radiat Ther. 2023;10(2):40-43. DOI: 10.15406/ijrrt.2023.10.00352

Download PDF

Abstract

Objectives: Stereotactic ablative radiotherapy (SABR) is now standard management of stage I non-small cell lung cancer in patients who are not medically operable. The purpose of this study was to assess clinical outcomes in our single institution to review comparability with worldwide outcomes.

Methods: The institutional database was screened for all patients with Stage I NSCLC treated in between September 2010 to November 2018 with SABR. Local control was defined on PET/CT or CT imaging and survival status retrieved from electronic medical records. Overall survival and local control were calculated using Kaplan-Meier method.

Results: 93 patients were treated with SBRT for stage I NSCLC. Median follow up time was 30 months (range 1-99 months). Overall survival was 67% and local control was 91% at 3 years respectively. Toxicity included grade 1-2 pneumonitis (16.5%), chest wall pain (3.3%) and rib fracture (2.1%)

Conclusion: In our local institution SABR for Stage I NSCLC is a safe and effective form of management of medically inoperable patients.

Introduction

Lung cancer is the 4th leading cause of death in Australia. It is also the leading cause of cancer death, with lung being primary site in 18.4% of cancer fatalities.1 Most patients diagnosed with lung cancer have non-small cell lung cancer (NSCLC) and of these approximately 20% will present with Stage I disease (T1N0M0 – T2N0M0).2 Lung cancer is more commonly diagnosed in those aged 60 years and older. The standard of care treatment for these patients is surgical resection in the form of wedge resection or lobectomy with mediastinal lymph node sampling. Surgical outcomes for median survival rates have been published at 62.4% at 3 years and 37% at 5 years.3-5

With an increasingly ageing population, at least 25% of patients presenting with early stage NSCLC are not amenable to surgical resection.6 Over the past 10 years stereotactic ablative radiotherapy (SABR) or Stereotactic Body Radiotherapy (SBRT) is fast becoming a curative option for these patients with improvements in technology and accuracy in delivery. SABR is an advanced form of delivering high ablative doses of radiation with high precision and steep dose gradients to the tumour volume, minimising harm to healthy surrounding tissues. The Phase III trial CHISEL showed improved local control and overall survival in comparison to standard fractionation. Freedom from local treatment failure was improved in the SABR group compared to the standard radiotherapy group (hazard ratio 0.32, 95% CI 0.13-0.77, p=0.0077).7 SABR dose optimised with BED of 100Gy or more has been found to have improved local control and overall survival.8 SABR is now recommended as first line management of medically inoperable Stage I lung cancer in the NCCN guidelines.9

In this study, we analyse the clinical outcomes of medically inoperable Stage I lung cancer patients treated in Genesis Care Centres in Western Australia with SABR between the years 2010 and 2018.

Methods

This was a retrospective review performed following approval through institutional research and ethics board. We performed a review of all patients with Stage I NSCLC from December 2010 to November 2018 who received SABR. All patients were discussed at a lung cancer multidisciplinary team meeting (MDT) and had attempted biopsy unless deemed technically or medically unsafe to do so. We included patients without tissue diagnosis who were discussed in MDT where consensus was that tumour was highly suspicious for NSCLC on review of imaging and clinical presentation.

SABR was performed according to departmental protocol. Patients were immobilised with the use of wing board and SecureVac Bionix vacuum bag. Patients were simulated with 4DCT and fused with PET/CT. Internal Target Volume (ITV) was personalised by assessment of tumour motion with respiration. Standard margin of 5mm was added to ITV to create planning target volume (PTV). Adjacent organs at risk were outlined. Planning was done via inverse planning with Pinnacle up until the Treatment Planning System (TPS) changed to Monaco from 2017 onward. Pretreatment positioning prior to each fraction was evaluated with 4D cone beam CT.

All patients were treated to a dose of 48Gy in 4 fractions (12 Gy per fraction), 2 fractions per week over 2 weeks with dynamic conformal arc therapy (DCAT) utilising intensity-modulated radiation therapy, prescribed to the 65-90% isodose. Treatment prescriptions of 52Gy/4#, 60Gy/8#, 50Gy/8# and 54Gy/10# were also utilised. Treatment was delivered by Elekta Synergy linear accelerator with Agility head.

Data collected including patient demographics, staging, histopathology, disease progression, and follow up was retrieved from electronic medical records.  Post treatment follow up was conducted 3 monthly with clinical review and CT chest or PET/CT scan. Tumour local control was assessed by radiology through CT Chest or PET/CT up to the last available scan. Local failure followed RECIST 1.1 definition for progressive disease which is a ≥20% increase in size of sum of longest diameter (SLD) or new lesions within 2cm of primary lesion. Partial Response (PR) was defined by ≥30% decrease in SLD and no new lesions, Complete Response (CR) was disappearance of the lesion.10 Toxicity data was retrospectively estimated on review of records according to CTCAE version 5.0.

Clinical and demographics of our cohort were measured on categorical scale, while median and ranges were used to describe characteristics measured on continuous variables.  Statistical analysis was done with R environment for statistical computing. Survival was analysed on Kaplan-Meier curves and cox regression analysis performed to assess the effect on survival and local control. Fisher’s exact test was performed for independence tests assessing relationship between categorical variables.

Results

The patient cohort included 91 patients with Stage IA/IB NSCLC lung cancer treated with SABR. Median age of patients was 77 (range, 54-94). Patient characteristics are presented in Table 1. Median follow up was 30 months (range, 1 – 99 months. Most patients (80.6%) were T1N0M0 staging - tumour less than 3cm and 19.3% T2N0M0 indicating tumour was 3 to 5cm in size.

Variable

Value

Frequency

Percentage

Sex

 

Female

45

49.5

Male

46

50.5

Age (median)

77

54-94

 

Smoking status

 

No

39

42.8

Yes

52

57.1

Tumor stage

 

 

 

T1N0M0

74

81.3

T2N0M0

17

18.6

Histology

 

 

 

 

 

Adenocarcinoma

57

61.2

Squamous Cell Carcinoma

20

21.5

Biopsy – non diagnostic

3

3.2

No Biopsy

8

9.6

Non-small cell carcinoma not otherwise specified

2

3.2

Carcinoid

1

1.1

 

 

 

Location

 

 

 

 

Left lower lobe

14

15.3

Left upper lobe

30

32.9

Right lower lobe

9

9.8

Right middle lobe

8

8.8

Right upper lobe

30

32.9

Local Control at 3 years

 

No

9

10.7

Yes

82

89.2

Dose

48Gy/4#

86

92.5

60Gy/8#

4

4.3

52Gy/4#

1

1.1

54Gy/10#

1

1.1

50Gy/8#

1

1.1

Table 1 Patient characteristics

Histopathological diagnosis was obtained in 86%. 3 had non diagnostic biopsies due to poor tissue yield and 8 had no biopsy attempt. The most common dose prescription was 48Gy in 4 (BED 105.6) followed by 52Gy/4# (BED 119.6), 54Gy/10# (83.16), 50Gy/8# (81.25). On review, reason for longer fractionation schedules were due to tumour being centrally located or adjacent to chest wall.

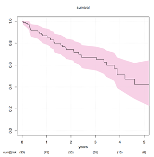
1 year overall survival was 86% (95% CI 79-93) and 3 year overall survival was 67% (95%CI 65-84) (Figure 1).  Out of the 34 deaths, 24 were unrelated to lung cancer, 4 were lung cancer related and 6 were unknown. 

Figure 1 Overall survival.

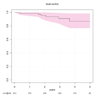
Local Control was 98.7% at 1 year 95% CI (96-100) and 91.0% at 3 years 95% CI (83-99) (Figure 2). At 3 years 9.9% of patients relapsed loco regionally and 13.1% of patients relapsed distantly.

Figure 2 Local control.

Independence tests between categorical variables only found a significant relationship between patients who had a response to radiotherapy with patients who were still alive at time of analysis (p value 0.0009).

Acute toxicity was reported in 15 patients (16.5%) with cough or pneumonitis and 5 patients (5.5%) with late toxicity which included 3 patients with grade 2 chest wall pain and 2 patients with rib fracture.  No patients had grade 3 or 4 toxicities documented.

Discussion

Our results have reflected that for medically inoperable patients with stage I NSCLC, SABR is a safe and effective treatment modality in our centres in Perth, Western Australia.  Limitations of our study relate to the retrospective design, several different dose regimens, small sample size and low statistical power for comparison between groups. 12 patients did not have histopathological diagnosis. Additionally, toxicity data due to retrospective analysis should be interpreted with caution. 

Although our patient cohort had a median age of 77 and all had medical comorbidities precluding them from surgery our results were comparable to other institutions worldwide. 3 year local control rate of 91% and 3 year overall survival of 67% (95% CI 65-84) is compared in the below table (Table 2) to summarise results from other prospective and retrospective studies.

Author

Study design

Dose/Fraction

Local control

3-year overall survival

Timmerman

Prospective

54Gy/3

98% (2 year)

56%

Nagata

Prospective

48Gy/4

94% ( 3 year)

72-83%

Baumann

Prospective

45Gy/3

92% (3 year)

60%

Ricardi

Prospective

45Gy/3

87.8% (3 year)

57.1%

Guckenberger

Retrospective

NA

92.5%  (3 year)

62%

Solda

Retrospective

NA

91% (2 year)

70% (2-year)

Perth, WA

Retrospective

48Gy/4#

91% (3 year)

67%

Table 2 Summary of evidence

Toxicity profile was also comparable to other reported series with 80% of patients without any reported symptoms and less than 20% with acute minor symptoms. In reported series, radiation pneumonitis were mostly grade 1 or 2 and either asymptomatic or manageable with a course of steroids.11 In large retrospective studies the incidence of grade 2 pneumonitis was below 8%.12 Late effects such as chest wall pain from neuralgia and rib fracture can be seen in lesions close to chest wall and can cause more morbidity in patients longer term and this occurred in 5 patients in this study.

There were 6 patients with longer fractionated regimens who received these doses due to central location of tumour. There has been emerging evidence that these lesions (central and ultracentral tumours) can be safely treated as reflected in a meta-analysis performed by Hanbo Chen with caution in lesions close to proximal bronchial tree, endobronchial disease, on bevacizumab or on anticoagulation.13

Due to the excellent outcomes seen, there is now movement to compare SABR and surgery in Stage I NSCLC patients in the operable setting. Standard therapy in operable Stage I patients is lobectomy with mediastinal lymph node sampling. A pooled analysis from the combined studies of STARS and ROSEL (2 independent phase III trials) showed improved 3 year overall survival in the SABR arm and no difference in recurrence free survival.14 There are concerns however, about the risk of local or nodal recurrence following SABR. Currently, there are many prospective studies such as the VALOR trial and SABRTooth which seek to provide further clarity in this area.

Conclusion

In our single institution in Perth, Western Australia the use of SABR in Stage I inoperable NSCLC demonstrated high levels of local control and overall survival and acceptable toxicity which add to the body of literature that early stage lung cancer patients have excellent outcomes.

Conflicts of interest

Authors declare that there is no conflict of interest.

Acknowledgments

None.

References

  1. Welfare AIHA. Cancer in Australia, 2017.
  2. Naruke T, Tsuchiya R, Kondo H, et al. Prognosis and survival after resection for bronchogenic carcinoma based on the 1997 TNM–staging classification: the Japanese experience. Ann Thorac Surg. 2001;71(6):1759–1764.
  3. Birim O, Zuydendorp HM, Maat AP, et al. Lung resection for non–small–cell lung cancer in patients older than 70: mortality, morbidity, and late survival compared with the general population. Ann Thorac Surg. 2003;76(6):1796–1801.
  4. Endoh H, Yamamoto R, Satoh Y, et al. Risk analysis of pulmonary resection for elderly patients with lung cancer. Surg Today. 2013;43(5):514–520.
  5. Miura N, Kohno M, Ito K, Senba M, et al. Lung cancer surgery in patients aged 80 years or older: an analysis of risk factors, morbidity, and mortality. Gen Thorac Cardiovasc Surg. 2015;63(7):401–405.
  6. Ricardi U, Filippi AR, Guarneri A, et al. Stereotactic body radiation therapy for early stage non–small cell lung cancer: results of a prospective trial. Lung Cancer. 2010;68(1):72–77.
  7. Ball D, Mai GT, Vinod S, et al. Stereotactic ablative radiotherapy versus standard radiotherapy in stage 1 non–small–cell lung cancer (TROG 09.02 CHISEL): a phase 3, open–label, randomised controlled trial. Lancet Oncol. 2019;20(4):494–503.
  8. Onishi H, Araki T, Shirato H, et al. Stereotactic hypofractionated high–dose irradiation for stage I nonsmall cell lung carcinoma: clinical outcomes in 245 subjects in a Japanese multiinstitutional study. Cancer. 2004;101(7):1623–1631.
  9. NCCN [Internet]. Non small cell lung cancer (Version 3.2023).
  10. Eisenhauer EA, Therasse P, Bogaerts J, et al. New response evaluation criteria in solid tumours: revised RECIST guideline (version 1.1). Eur J Cancer. 2009;45(2):228–247.
  11. Ricardi U, Badellino S, Filippi AR. Stereotactic radiotherapy for early stage non–small cell lung cancer. Radiat Oncol J. 2015;33(2):57–65.
  12. Guckenberger M, Mantel F, Gerszten PC, et al. Safety and efficacy of stereotactic body radiotherapy as primary treatment for vertebral metastases: a multi–institutional analysis. Radiat Oncol. 2014;9:226.
  13. Chen H, Laba JM, Zayed S, et al. Safety and effectiveness of stereotactic ablative radiotherapy for ultra–central lung lesions: a systematic review. J Thorac Oncol. 2019;14(8):1332–1342.
  14. Chang JY, Senan S, Paul MA, et al. Stereotactic ablative radiotherapy versus lobectomy for operable stage I non–small–cell lung cancer: a pooled analysis of two randomised trials. Lancet Oncol. 2015;16(6):630–637.
Creative Commons Attribution License

©2023 Chong, et al. This is an open access article distributed under the terms of the, which permits unrestricted use, distribution, and build upon your work non-commercially.