Submit manuscript...
eISSN: 2473-0815

Endocrinology & Metabolism International Journal

Research Article Volume 11 Issue 2

Use of ECO-fast at obesity children as a tool for detecting risk of non-alcoholic fatty liver disease

Sandra Maeso Méndez,1 Ainhoa Sarasua Miranda,2 Zuriñe García Casales,2 Ariane Erika Calvo Sáez,2 Erika Santos Corraliza,2 Ainara Gamarra Cabrerizo,2 Ignacio Díez López1,3

1Bioaraba, Infant-Adolescent Growth and Metabolism Research Group, Vitoria-Gasteiz, Spain; Osakidetza, Araba Integrated Health Organization, Araba University Hospital, Pediatric Service, Vitoria-Gasteiz, Spain
2Osakidetza, Araba Integrated Health Organization, Araba University Hospital, Vitoria-Gasteiz, Spain
3Department of Pediatrics. UD of Victoria. UPV-EHU

Correspondence: Ignacio Díez López, Pediatric Departament, Basque Country University, UPV-EHU, 01009 Vitoria, Spain

Received: July 27, 2023 | Published: September 20, 2023

Citation: Méndez SM, Miranda AS, Casales ZG, et al. Use of ECO-fast at obesity children as a tool for detecting risk of non-alcoholic fatty liver disease. Endocrinol Metab Int J. 2023;11(2):37-43 DOI: 10.15406/emij.2023.11.00329

Download PDF

Summary

Introduction and objectives: In recent decades, a significant increase in childhood obesity has been observed. For this reason, it is interesting to have early markers of comorbidi-ty. Ultrasound of adipose and muscle tissue is an emerging technique validated in adults, with no studies in the pediatric population. The main objective of this study is to assess whether the measurement of preperitoneal fat by nutritional ultrasound is a good screening method for non-alcoholic fatty liver disease (NAFLD) in obese children.

Patients and methods: Prospective longitudinal study. A study of somatometry, bioelectrical impedancemetry and nutritional ul-trasound has been carried out.

Results: 102 patients were included, with a mean BMI (SDS) of 2.58. A linear and direct correlation was observed between the fat mass measured by bioelectri-cal impedancemetry and the total subcutaneous abdominal fat measured by nutritional ultra-sound. We also observed a correlation between preperitoneal fat measured by nutritional ultra-sound and NASH, with a cut-off point of 0.93 cm of preperitoneal fat (sensitivity 96% and speci-ficity 94%).

Conclusion: Measurement of preperitoneal fat by nutritional ultrasound is a good screening method for NASH in obese children.

Keywords: childhood obesity, ultrasound of adipose, obese children, diet, lifestyle

Introduction and objectives

In recent decades, a significant increase in childhood obesity has been observed. For this reason, it is interesting to have early markers of comorbidity. Ultrasound of adipose and muscle tissue is an emerging technique validated in adults, with not many studies in the pediatric population. The main objective of this study is to assess whether the measurement of preperitoneal fat by nutritional ultrasound is a good screening method for non-alcoholic fatty liver disease (NAFLD) in obese children.

The current lifestyle, with a diet increasingly removed from the Mediterranean diet, together with the habitual sedentary lifestyle, is associated with many of the so-called non-communicable diseases, such as metabolic syndrome. Every day these pathologies are more frequent in pediatrics.

Malnutrition should be considered an imbalance between energy and nutrient intake and their requirements, causing metabolic and functional changes that are normally difficult to appreciate in the initial stages, but as the process progresses they can be assessed as changes in nutritional status markers and body composition (CC).1

There are difficulties in establishing a diagnosis with universally accepted criteria for all patients, as is evident in the multitude of screening methods and different diagnostic criteria in different scientific societies such as the European Society for Clinical Nutrition and Metabolism (ESPEN) and the American Society for Parenteral and Enteral Nutrition (ASPEN).1,2

A nutritional marker must be sensitive in order to add value to nutritional diagnosis and identify alterations in the early stages. On the other hand, it must be quite specific to show modifications only with the nutritional intervention, and also adequate nutritional support must correct the altered values of the marker.

In clinical practice, since there is no single diagnostic or prognostic marker, in the assessment of nutritional status, we use screening and assessment tests that include clinical, anthropometric, and analytical parameters, nutritional indices, and functionality and CC tests.

The assessment of the CC has demonstrated its usefulness, both at the individual level at a specific moment, and to estimate changes over time of a longitudinal nature, both to know the nutritional status, and to identify the risk of malnutrition and to plan nutritional support more adequate.3,4

Within the CC, what we are really evaluating is the functioning of the different organs such as muscle, adipose tissue, metabolic organs such as the liver, etc. Obtaining morphological data on size may be insufficient and we must always evaluate its functionality (muscle-strength) to know the scope of the malnutrition problem.4

Basic anthropometric parameters such as weight, height, and body mass index (BMI) should always be mandatory, both for screening and for assessing nutritional status, whether in ambulatory or hospitalized patients. Complementary parameters such as determination of perimeters (waist, mid-arm, calf) and skinfolds (triceps, biceps, subscapularis, and suprailiacus) are recommended in some cases and necessary in others to complete screening tests.5

Weight, height, and BMI are not sufficiently sensitive parameters to assess early changes in water capacity (WC).6 The more complex models analyze different components of the FFM: total body water (TBW, from the English total body water), intracellular water (ICW ) , extracellular water (ECW) , and active cell mass (BCM). Body compartments can be measured quantitatively. In addition to anthropometry, bioelectrical impedance (BIA), dual photon X-ray densitometry (DXA) and radiological techniques are currently the most widely used techniques in centers that may have them. DXA is the reference method for analyzing the bone compartment, it is also considered the reference technique for CC in clinical practice because it allows accurate assessment of FM and lean mass (MM), both at the total body level and at the segmental level, also assessing the visceral fat and the relationship between FM and MM, thus estimating the sarcopenic index. Its accessibility and cost still limit its clinical use, together with the added difficulty of not having availability at bedside and not correctly assessing changes in hydration. However, in a short time, it has gone from being an experimental technique to its individualized clinical use to assess CC changes in response to nutritional treatment.7

BIA estimates CC indirectly based on several assumptions, many of which can be altered in pathological states such as hydration and/or changes in body geometry. In addition, the use of predictive equations developed for a specific population or pathology limits its clinical use. The recent development of new multifrequency, spectroscopic or segmental BIA equipment opens up a range of possibilities to perform other measurements such as monitoring body fluids and assessing longitudinal changes in body compartments, even avoiding the use of specific equations. In addition to the data obtained in the indirect assessment of body compartments, the BIA provides raw electrical values: Z (impedance), R (resistance), XC (reactance), and the phase angle (PA) that expresses the relationship between R and XC. It’s direct application or its vectorial representation in specific software has shown its usefulness to assess changes in CC in the short term, to serve as a specific marker of nutritional status and, above all, the raw values of PA are directly related to the state of the cellular health, and report both short- and long-term changes as an indicator of nutritional prognosis, and risk of morbidity and mortality. FA is, therefore, a nutritional marker that reflects not only the BCM content, but is also one of the best indicators of cell membrane function.8–10

In this sense, AF provides a measure of energy changes (electrical) that is related to cell functionality and the composition of the internal environment, but not from a molecular point of view, but bioelectrical. Changes in the bioenergy of cells and tissues are very sensitive to nutritional and metabolic changes, and provide us with comprehensive information on tissue composition and functionality.

The BCM is affected in situations of malnutrition due to decreased intake, increased losses, and the proinflammatory state that accompanies it. Functional assessment is always necessary, not only for nutritional diagnosis, but also to assess functional changes.11 The muscular strength estimated by " handgrip " dynamometry, must complement today the study of assessment of nutritional status, eliminating borders between the different methods and building a new approach to nutrition.

The field of functional nutritional assessment is beginning. Techniques such as hand dynamometry are already established, but more detailed and global evaluations of the organism's functionality are yet to be systematized. Functional tests: "Timed Up and Go" test (TUG), gait test, Barthel index (BI), etc., should be included in the nutritional assessment as they complement the CC data.12

Classic analytical data must be adapted to new, more specific markers of the situation of biomolecules that assess nutrition, inflammation (prealbumin/CRP), metabolic changes, etc.

All this should make us consider the need to incorporate new nutritional assessment parameters that are practical, sensitive and specific, and reproducible throughout the follow-up of patients.

Classic parameters vs. advanced parameters in clinical nutrition

The objective of this publication is not a systematic review of all possible useful parameters in nutritional assessment or support, but a practical contextualization of the tools commonly used in clinical practice, and to assess the options for use of the present and the future.

Below, we describe in a schematic and summarized way the definition, utility, and limitations of the most common parameters of nutritional interest in clinical practice. There are some clearly established, classic parameters in nutrition, such as weight loss, BMI, folds, circumferences, albumin, lymphocytes, cholesterol and intake, while new advanced parameters in clinical nutrition are emerging whose incorporation into clinical practice arouses growing interest, such as the measurements derived from BIA and AF, dynamometry, functional tests, PCR/Prealbumin and muscle ultrasound.

Advanced parameters in clinical nutrition

Impedancemetry: body composition and phase angle

The BIA is an indirect method for measuring DC, based on the ability of the human body to transmit electrical current. It is well transmitted through fluids and electrolytes, whereas fat and bone are relatively non-conductive. In this way, the impedance measures the TBW. AND, using predictive equations based on reference techniques, from the estimated value of the TBW, the FFM and FM are obtained.13–28

Through crude impedance parameters, such as resistance and reactance, the phase angle can be calculated (AF=arc tangent (Xc/R)×180°/n). By definition, PA is positively associated with tissue reactance (associated with cell mass, integrity, function, and composition of cell membranes), and negatively with resistance, which mainly depends on the degree of tissue hydration.21–26

Clinical utility

BIA is probably the most widely used method at present to study CC in various contexts, mainly due to its low cost, ease of use and transport, and because it presents less inter-observer variability than other techniques . However, this technique is subject to possible biases, depending on the formulas used, equipment and measurement conditions.10,27 To alleviate these limitations, information can be obtained from crude impedance measurements, such as the AF. Its advantage is that it is independent of the regression equations, and it can be calculated in situations in which the BIA assumptions are not valid to estimate CC.28

In the healthy population, PA varies physiologically depending on sex (greater in men than in women), age (direct relationship), BMI (direct relationship up to extreme values, in which there is an inverse correlation) and the race.

It is important to follow the measurement protocol, patient position, electrode placement, and general conditions so that electrical determinations are not affected.

BIA has now ceased to be an indirect CC technique based solely on predictive equations to be a technique for clinical use in nutrition based on crude electrical parameters that provide early information on cell functionality and the degree of hydration of the FFM.

Muscle ultrasound

Definition

The application of ultrasound for the morphological and structural study of muscle mass is an emerging technique. At present, there are different validation studies on the measurement technique.

Sonography is an ultrasound technique that determines the area of the muscle surface in transverse and longitudinal position.

In particular, with ultrasound analysis, it is possible to measure key parameters of muscle architecture, such as muscle volume, fascicle length, and angle of muscle penetration.

Although there are different muscular structures that can be evaluated, most of the studies focus on the rectus femoris of the quadriceps or on combinations of various muscle groups that involve large muscle packages with functional importance for the patient in terms of gait or BADL. The measurement of the rectus femoris of the quadriceps is one of the most referenced measurements due to its correlation with strength and performance tests or functional performance.29–32

Ultrasound of adipose tissue

Definition

The application of ultrasound for the morphological and structural study of fat mass is an emerging technique. At present, there are different validation studies on the measurement technique.

Ultrasonography is an ultrasound technique that determines the area of the fat surface in a transverse position in the visceral adipose zone (Hamagawa technique) in the middle zone of the parietal peritoneum. In particular, with ultrasound analysis, it is possible to measure the key parameters of superficial subcutaneous fat (energy reserve), deep (neuroendocrine regulation) and visceral ectopia.33–36

Patients and methods

Prospective longitudinal study. A study of somatometry, bioelectrical impedancemetry and nutritional ultrasound has been carried out.

Design: It is a study of diagnostic tests, where the result of the nutritional echo is going to be compared with the hepatic echo (nutritional ultrasound) longitudinal prospective.

Study approved by the CEIC of the OSI ARABA file 020-2021

Study population: Patients diagnosed as overweight/ obese (defined as BMI≥2SDS) (CASE SUBJECT) who are referred from primary care to the OSI Araba pediatric endocrinology clinics and meet the following inclusion and none exclusion criteria:

Inclusion criteria

  1. Both genders
  2. Age ≥ 6 years and under 18 years. The age is set at ≥6 years as the IMEPDANCEMETRY is validated at these age ranges.
  3. Obesity
  4. Manifest organicity ruled out as a cause of obesity
  5. Regular clinical follow-up (Includes performing standardized impedance in CCEE).
  6. Sign the informed consent

Exclusion criteria

Obesity with underlying organicity, syndromic with obesity in its usual clinical evolution (Prader Willi, hypothalamic pathology, use of corticosteroids......)

Intervention

The patient is referred from other CCEEs or from PC to the PEDIATRIC ENDOCRINOLOGY consultation. If the patient meets the inclusion criteria, they will be invited to participate in the study. Regardless of your participation in the study, as usual practice, you will take a medical history, regular clinical follow-up, and a systematic physical examination consisting of:

  1. Standardized nutrition education
  2. Follow-up by specialized nursing and our own practice
  3. Analytical study if applicable

Bioelectric impedance, obtaining impedance the variables basal metabolism, fat mass, lean mass, excess fat mass As usual practice, all the data of the children who come to the consultation and have a TANITA impedance test are collected in a database that is registered in computer science to comply with the data protection law, as well as Permission to create this database was requested from the CEI. For this reason, these data are collected in a pseudo-anonymized manner, and will be used for analysis in this study.

  1. In the case of obesity > 3 SDS, analysis with hyperinsulinism HOMA > 3.5, prediabetes or altered lipid profile, referral to liver ULTRASOUND by the Radiology Service, determining the presence or absence of NASH and its degree.

After explanation of the procedure and signature of IC, with collection in Clinical History - OSABIDE, a NUTRITIONAL ULTRASOUND study will be carried out. Technical systematics validated by the Spanish Society of Endocrinology and Nutrition, NUTRITIONAL ECOGRAFIA group. Hamagawa technique.

  1. Study using ECOGRAPH probe 2-10 Mhz. Standardized method on right LES 1/3 lower iliacrotulian midline and supraumbilical abdominal midline (variables in mm. Precision +/- 0.1 mm).
  2. Main variables to be collected: Age (years-months), weight (Kgrs ), height (cm), impedancemetry data (basal metabolism in Kcal, fat mass tissue, muscle mass tissue in Kgrs). Nutritional ultrasound variables
  1. Muscle ULTRASOUND (in mm)
    1. Vastus anterior triceps area
    2. X axis Y axis
    3. Muscle circumference
    4. Supramuscular superficial adipose tissue right EESS
  1. ULTRASOUND abdominal fat (in mm)
    1. Superficial subepidermal fat
    2. Deep subepidermal fat
    3. Intraperitoneal fat

The nutritional ultrasound study and its procedure are included in previous studies (39-40) and on the SEEN website itself. Test completion time 5-10'

Variables

  1. Main variable:
  1. Thickness in mm of intraperitoneal fat.
  2. Diagnosis of hepatic steatosis (yes/no) and metabolic risk (yes/no) by ultrasound according to usual practice
  3. Diagnosis of hepatic steatosis (yes/no) and metabolic risk (yes/no) by nutritional ultrasound.
  1. Secondary variables:
  1. Vastus anterior triceps area
  2. X axis Y axis
  3. Muscle circumference
  4. Supramuscular superficial adipose tissue right EESS
  5. Subepidermal fat (mm fat)
  6. Subepidermal fat (mm fat)
  7. Steatosis YES/NO
  8. Degree of steatosis
  9. Abdominal fat (mm fat) at baseline, 3 months, 6 months and 12 months.
  1. Others: age (years), sex (male/female), BMI, degree of overweight/obesity

Statistic analysis

In order to respond to the main objective on the diagnostic capacity of hepatic steatosis mediated by nutritional ultrasound, diagnostic tests will be carried out in comparison with the ultrasound used in routine practice. Diagnostic tests will report the following information: Sensitivity, specificity, Positive Predictive Value (PPV), Negative Predictive Value (NPV) and Youden 's J index.

Descriptive analyzes of the sample are carried out, where the qualitative variables will be expressed by frequency and percentage and for the quantitative variables the mean and standard deviation will be used in the case of following a normal distribution and median and interquartile range if not.

Comparisons between both groups were made using the following statistics: Chi-square when dealing with qualitative variables, the student 's t-test for independent samples in the case of quantitative variables that follow a normal distribution and if they do not follow a normal distribution, the non-parametric test. Mann-Whitney U.

To establish if there is any type of correlation between the measurements of abdominal fat between those obtained by nutritional ultrasound and the usual practice, the Pearson correlation will be used and, in the case of not following the normal distribution, Spearman.

Student's t test will be performed for related samples or the Wilcoxon test in the case of not following a normal distribution.

Results

102 patients were included, with a mean BMI (SDS) of 2.58. A linear and direct correlation was observed between the fat mass measured by bioelectrical impedancemetry and the total subcutaneous abdominal fat measured by nutritional ultrasound. We also observed a correlation between preperitoneal fat measured by nutritional ultrasound and NASH, with a cut-off point of 0.93 cm of preperitoneal fat (sensitivity 96% and specificity 94%).

103 patients were included, 60 men (58%) and 43 women (42%), with a mean age of 11 and a half years. The mean BMI (SDS) is 2.58 +/- 0.5 [2-3.5] and the mean ITP (kg/m3) is 18.1 +/- 2.81 [13-28].

Regarding the CC results obtained by bioelectrical impedancemetry, we see that the mean basal metabolism of the patients is 1578.68 kcal/day. In addition, the average fat mass is 29.39 kg and the average excess fat is 8.52 kg.

On the other hand, in the abdominal ultrasounds carried out by the Radiodiagnosis Service, it was observed that 52 patients had NASH (57.8%) and 38 patients did not (42.2%), with no differences by sex. 47.8% of them are mild NASH, 8.9% moderate and 1.1% severe.

The data obtained by nutritional ultrasound show:

Muscle ultrasound: mean vastus anterior area of 4.97 cm2, mean muscle circumference of 9.13 cm, mean X axis of 2.26 cm, and mean Y axis of 3.25 cm. The mean superficial adipose tissue is 1.64 cm.

Abdominal fat ultrasound: mean total subcutaneous fat of 2.55 cm +/- 0.92, mean superficial subcutaneous fat of 1.27 cm +/- 0.67, and mean preperitoneal fat of 1.03 cm +/- 0.4. These results are shown in Table 1.

No

 

103

 

Men

60 (58%)

Women

43 (42%)

Age (years)

11.46 +/- 2.02

Weight (kg)

67.44 +/- 18.1

Size (cm)

154.23 +/- 12.03

BMI (kg/m2)

27.89 +/- 4.73

BMI (SDS)

2.58 +/- 0.5

ITP (kg/m3)

18.1 +/- 2.81

Hepatic steatosis

Yeah

60 (58%)

Mild: 49 (47%)

Moderate: 10 (9%)

Severe: 1 (1%)

No

43 (42%)

Bioelectrical impedancemetry

Basal metabolism (kcal/day)

1578.68 +/- 297.7

Fat mass (kg)

29.39 +/- 11.68

Excess fat (kg)

8.52 +/- 6.08

Muscle ultrasound

Vastus anterior area (cm2)

4.97 +/- 2.02

Muscle circumference (cm)

9.13 +/- 1.96

X axis (cm)

2.26 +/- 1.5

Y axis (cm)

3.25 +/- 1.46

Superficial adipose (cm)

1.64 +/- 1.14

Abdominal fat ultrasound

Total subcutaneous fat (cm)

2.55 +/- 0.92

Superficial subcutaneous fat (cm)

1.27 +/- 0.67

 

Preperitoneal fat (cm)

1.03 +/- 0.4

 

Table 1 Distribution of the sample

To analyze the correlation between the measurement of total subcutaneous abdominal fat obtained by nutritional ultrasound and the fat mass obtained by bioelectrical impedancemetry , a Spearman's Rho study was performed, finding p=0.01, which shows a linear and direct correlation (Figure 1).

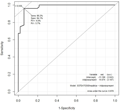
To analyze the correlation between the measurement of total subcutaneous abdominal fat obtained by nutritional ultrasound and the fat mass obtained by bioelectrical impedancemetry, a Spearman's Rho study was performed, finding p=0.01, which shows a linear and direct correlation (Figure 1). Preperitoneal fat obtained by nutritional ultrasound and NASH, the Mann-Whitney U test was performed, finding that patients with NASH had significantly more preperitoneal fat (p<0.01). The Youden index was also performed, indicating 0.93 cm of preperitoneal fat as the optimum cut-off point for correlation with NASH (Figure 2). This cut-off point presents a sensitivity of 96% and a specificity of 94%.

Figure 1 Linear and direct correlation between fat mass measured by bioelectrical impedancemetry and total subcutaneous abdominal fat measured by nutritional ultrasound.

Figure 2 Cut-off point of 0.93 cm of preperitoneal fat for correlation with NASH.

Discussion

We want to emphasize that, given the increase in childhood obesity in recent decades in our environment,1,2 we consider it very important to have early diagnosis methods for associated comorbidities. In addition, NASH is detected more and more frequently in the obese child population.

To date the existence was necessary to corroborate the metabolic risk with biochemical studies, oral glucose tolerance test. Likewise, it has been classically postulated with the use of folds, IMC and ITP perimeters to guide and classify cases.5–7 Although in adults5 the definitions are clearer, in pediatrics1–4 there are no such well-defined objective criteria, parameters/graphs are needed by age and sex and it is necessary to use the SDS as a comparative value for the BMI and ITP variables between populations. In routine clinical practice, the use of impedance measurement8–11 has provided another tool for monitoring and detecting high-risk obesity, also in pediatrics. But in the end, it is necessary to resort to performing deep abdominal ultrasounds31–35 in the hands of experienced and qualified radiologists to detect an emerging pathology: NASH. In adults, the use of nutritional ultrasound, a tool with a faster learning curve, which can be done in the clinic itself at "bedside" identifying patients with little or excessive fat mass and assessing its distribution with lean tissue.29–32

To date, these authors had not found similar validation studies in a pediatric population.

The results of this study agree with what has been validated in studies of adult patients,15,16 postulating nutritional ultrasound and specifically the measurement of preperitoneal fat as a marker of NASH, with a cut-off point of 0.93 cm. The limitations of this study are that it is a single-center study, which requires expansion of cases number and revalidation of the cut-off point considering subgroups by age, sex, and race. It should be noted that this is the first study of these characteristics in a child population.37–39

Conclusion

Measurement of preperitoneal fat by nutritional ultrasound is a good screening method for NASH in obese children.

Acknowledgments

This work has been possible thanks to a grant from the SEEN Endocrinology Society in its NUTRITION category, call for year 2021.

Conflicts of interest

Authors declare that there is no conflict of interest exists.

Funding

None.

References

  1. White JV, Guenter P, Jensen G, et al. Consensus statement: Academy of Nutrition and Dietetics and American Society for Parenteral and Enteral Nutrition: characteristics recommended for the identification and documentation of adult malnutrition (undernutrition). JPEN J Parenter Enteral Nutrition. 2012;36(3):275–283.
  2. Cederholm T, Barazzoni R, Austin P, et al. ESPEN guidelines on definitions and terminology of clinical nutrition. Clin Nutr. 2017;36(1):49–64.
  3. Lee SY, Gallager D. Assessment methods in human body composition. Curry Opin Clin Nutr MetabCare. 2008;11:566–572.
  4. Baracos V, Caserotti P, Earthman CP, et al. Advances in the science and application of body composition measurement. JPEN J Parenter Enteral Nutrition. 2012;36:96–107.
  5. Madden AM, Smith S. Body composition and morphological assessment of nutritional status in adults: a review of anthropometric variables. J Hum Nutr Diet. 2016;29(1):7–25.
  6. Gonzalez MC, Correira MITD, Heymsfield SB. A requiem for BMI in the clinical setting. Curry Opin Clin Nutr MetabCare. 2017;20(5):314–321.
  7. Bellido D, Carreira J. Dual-energy X-ray absorptiometry analysis and body composition. Nutr Clin Med. 2008;2:85–108.
  8. Carreira J, Bellido D, Bellido V, et al. Analysis of body composition by bioelectrical impedance: physical principles and analytical models. Nutr Clin Med. 2011;5:9–26.
  9. Bellido D, Carreira J, Bellido V, et al. Analysis of body composition by bioelectrical impedance: modalities and clinical applications. Nutr Clin Med. 2011;5:63–79.
  10. Mulasi U, Kuchnia AJ, Cole AJC, et al. Bioimpedance at the bedside: current applications, limitations and opportunities. Nut Clin Practice. 2015;30:180–193.
  11. Barbosa-Silva MC. Subjective and objective nutritional assessment methods: what do they really on? Curry Opn Clin Nutr MetabCare. 2008;11:248–254.
  12. Earthman PC. Body composition tools for assessment of adult malnutrition at the betside: a tutorial on research considerations and clinical applications. JPEN J Parenter Enteral Nutrition. 2015;39(7):787–822.
  13. Bellido D, Carreira J, Bellido V. Assessment of nutritional status: anthropometry and body composition. In: Angel Gil. Nutrition Treatise: Human Nutrition in the state of health. Madrid: Panamericana; 2017:99–132.
  14. Elia M. Screening for malnutrition: A multidisciplinary responsibility. Development and use of the malnutrition universal screening tool ('MUST') for Adults. Redditch: BAPEN; 2003.
  15. Alastrué A, Rull M, Camps I, et al. New rules and advice on the assessment of parameters in our population: muscle-fat index, weight indices and percentile tables of anthropometric data useful in a nutritional assessment. MedClin. 1998;91:223–226.
  16. Bellido V, Lopez JJ, Bellido D. Complementary explorations in nutrition: body composition, caloric expenditure measurement. In: Resident's Manual of Endocrinology and Nutrition. 2016.
  17. Seltzer MH, Bastidas JA, Cooper DM, et al. Instant nutritional assessment. JPEN J Parenter Enteral Nutrition. 1979;3(3):157–159.
  18. Villalobos Gámez JL, García-Almeida JM, Guzmán de Damas JM, et al. INFORNUT® process: validation of the filter phase -FILNUT- and comparison with other methods of early detection of hospital malnutrition. Nutr Hosp. 2006;21(4):491–504.
  19. Ignacio de Ulíbarri J, González-Madroño A, de Villar NG, et al. CONUT: a tool for controlling nutritional status. First validation in a hospital population. Nutr Hosp. 2005;20(1):38–45.
  20. Álvarez J, Del Río J, Planas M, et al. SENPE Documentation Group. SENPE-SEDOM document on coding of hospital hyponutrition. Nutr Hosp. 2008;23(6):536–540.
  21. Fleck A. Clinical and nutritional aspects of changes in acute-phase proteins during inflammation. Proc Nutr Soc. 1989;48(3):347–354.
  22. Lee JL, Oh ES, Lee RW, et al. Serum albumin and prealbumin in calorically restricted, nondiseased individuals: A systematic review. Am J Med. 2015;128(9):1023.e1–22.
  23. Burgos-Peláez R. Malnutrition and disease. Nutr Hosp. 2013;6(1):10–23.
  24. Álvarez Hernández J, Muñoz Carmona D, Planas Vila M. Introduction to the problem: nutrition and oncology. Nutr Hosp (Suppl). 2008;1(1):13–48.
  25. Schindler K, Pernicka E, Laviano A, et al. How nutritional risk is assessed and managed in European hospitals: A survey of 21,007 patients findings from the 2007-2008 cross-sectional NutritionDay survey. Clin Nutr. 2010;29:552–559.
  26. Hiesmayr M, Schindler K, Pernicka E, et al. Decreased food intake is a risk factor for mortality in hospitalized patients: The Nutrition Day survey 2006. Clin Nutr. 2009;28(5):484–491.
  27. García de Lorenzo A, Álvarez J, Planas M, et al. Multidisciplinary consensus on the approach to hospital malnutrition in Spain. Nutr Hosp. 2011;26:701–710.
  28. Kyle UG, Bosaeus I, De Lorenzo AD, et al. Bioelectrical impedance analysis - part I: review of principles and methods. Clin Nutr. 2004;23(5):1226–1243.
  29. Kyle UG, Bosaeus I, De Lorenzo AD, et al. Bioelectrical impedance analysis - part II: utilization in clinical practice. Clin Nutr. 2004;23(5):1430–1453.
  30. Norman K, Stobäus N, Pirlich M, et al. Bioelectrical phase angle and impedance vector analysis-clinical relevance and applicability of impedance parameters. Clin Nutr. 2012;31(6):854–861.
  31. Buckinx F, Landi F, Cesari M, et al. Pitfalls in the measurement of muscle mass: a need for a reference standard. Journal of Cachexia, Sarcopenia and Muscle. 2018;9:269–278.
  32. Berger J, Bunout D, Barrera G, et al. Rectus femoris (RF) ultrasound for the assessment of muscle mass in older people. Archives of Gerontology and Geriatrics. 2015;61:33–38.
  33. Strasser EM, Draskovits T, Praschak M, et al. Association between ultrasound measurements of muscle thickness, pennation angle, echogenicity and skeletal muscle strength in the elderly. Age. 2013;35(6):2377–2388.
  34. Thomaes T, Thomis M, Onkelinx S, et al. Reliability and validity of the ultrasound technique to measure the rectus femoris muscle diameter in older CAD-patients. BMC Med Imaging. 2012;12:7.
  35. Schlecht I, Wiggermann P, Behrens G, et al. Reproducibility and validity of ultrasound for the measurement of visceral and subcutaneous adipose tissues. Metabolism. 2014;63(12):1512–1519.
  36. García Almeida JM, García García C, Bellido Castañeda V, et al. New approach to nutrition. Assessment of the patient's nutritional status: composition and function. Nutr Hosp. 2018;35(3):1–14.
  37. Díez López I, Fernández B, Sarasua Miranda A, et al. Influence of the basal metabolic profile on the evolution of pediatric patients with obesity. Bol S Vasco Nav Pediatric. 2021;53:65–72.
  38. Influence of metabolic syndrome and its components in overweight and obese patients in Pediatrics : Bol S Vasco- Nav Pediatric _ 2021; 53:45–51
  39. Galindo Martín CA, Monares Zepeda E, Lescas Méndez OA. Bedside ultrasound measurement of rectus femoris: A tutorial for the nutrition support clinician. J Nutr Metab. 2017;2017:2767232.
Creative Commons Attribution License

©2023 Méndez, et al. This is an open access article distributed under the terms of the, which permits unrestricted use, distribution, and build upon your work non-commercially.